Scarica tutti i 101 studi in formato PDF e sostieni il progetto Matepratica con soli 3,99€: clicca qui per effettuare il pagamento, riceverai subito un link via mail dove poter scaricare uno Zip con tutti gli studi pubblicati sul sito in versione PDF. Per ulteriori info scrivi a info@matepratica.it
Scarica tutti i 101 studi in formato PDF e sostieni il progetto Matepratica con soli 3,99€: clicca qui per effettuare il pagamento, riceverai subito un link via mail dove poter scaricare uno Zip con tutti gli studi pubblicati sul sito in versione PDF. Per ulteriori info scrivi a info@matepratica.it



BELLA PAGINA, MA SE NON HAI ALMENO LE BASI NON CI SI CAPISCE NIENTE, PASSAGGI TROPPO VELOCI, COME STARE DAVANTI AD UN PROFESSORE CHE SI SPIEGA DA SOLO LE COSE
ciao albert mi spieghi perchè nel limite dove vai a controllare se c’è l’asintoto dalla radice passi al modulo di x ? potresti spiegarmi passaggio per passaggio graziee
scusa Albert se mi permetto,
in questo caso cè ben poco da spiegare:
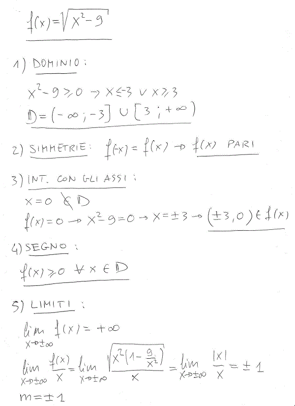
lim sqrt(x^2 -9)/x
x->+/- inf
={per il principio di eliminazione degli infiniti}
lim sqrt(x^2)/x
x->+/- inf
={ per la definizione di valore assoluto sappiamo che sqrt(x^2) = abs(x) }
{{perchè questo? perchè in questi esercizi “banana” si è soliti lavorare con radici ARITMETICHE (cosa sono e perchè esistono @ google.it) }}
Saluti
RT
{{perchè questo? perchè in questi esercizi “banana” si è soliti lavorare con radici ARITMETICHE (cosa sono e perchè esistono @ google.it)
(AND, et, connettivo logico)
sqrt(x^2) è di fatto definito per ogni x appartenente a D sottoinsieme di R }}
qualcuno mi può spiegare per favore perchè nel calcolo degli asintoti obliqui viene solo zero a me vengono 2 soluzioni di f(x)-mx con passaggio finale IxI -(+e-x)= zero e due.
grazie
Buona Sera, volevo sapere se è possibile il grafico della seguente funzione :(2x^2-1)^1/2*e^(-3x^2)
Grazie.
Questo commento è stato eliminato dall’autore.
Ciao Albert. Non riesco a capire come fai a dire che in 3 e -3 ci sono due flessi a tangente verticale. La loro presenza non dovrebbe essere confermata dal valore del limite pari a + o – infinito per x che tende a + e – 3 da destra e da sinistra? in fatto che in -3+ e 3- la funzione sia fuori dominio cosa ci può far concludere? scusa ma non riesco a capire. grazie mille
Questo commento è stato eliminato dall’autore.
Ciao Albert! Potresti dirmi quali sono i punti stazionari della funzione? Grazie mille!
Ciao Albert! Scusa la domanda, ma perchè il dominio viene così? Non dovrebbe essere x> o uguale di +-3? Grazie! Mara
Ciao Albert, ma perché D viene ] U [ invece che [ U [ ..in poche parole perché si esclude “-3” ?
Ciao albert.. nell’intersezione dove il risultato viene x=0, in realtà se 0 appartenesse al dominio, il punto sarebbe 0; -9 ? Grazie
No, sarebbe 0; rad(-9) che non è reale
Ciao Albert, la derivata seconda a me viene dopo il minimo comune multiplo, [2*(x^2-9)^2-2x^2*(x^2-9)]/[2*rad(x^2-9)*(x^2-9), dopo metto in evidenza (x^2-9) e il risultato finale mi da -9/(rad(x^2-9)), dove sbaglio??
forse sbagli la derivata del denominatore, che è:
D=rad(x^2-9) -> D’=x/rad(x^2-9)
Ciao, perché nella derivata prima moltiplichi per 2x e poi semplifichi? Da dove è uscito quel 2x..grazie!
f(x) è una funzione composta. 2x è la derivata della funzione interna (quella che sta sotto la radice)
ciao Albert, non capisco come hai fatto la derivata seconda …dopo aver fatto la la solita formula di derivazione delle funzioni fratte non devi moltiplicare quest ultima per la derivata della radice che si trova al denominatore? Perchè non applichi quella formula del contenente e contenuto? in questo caso il contenente è la frazione il contenuto è la radice, quindi dopo aver calcolato la derivazione delle funzioni fratte la dovresti moltiplicare per la derivata della radice.
Mettiamo un po’ di ordine. Una funzione fratta è fatta così: f(x)=N(x)/D(x) dove N(x) e D(x) sono le funzioni al numeratore e al denominatore.
Se vuoi calcolare la sua derivata applichi la formula:
f'(x)=(N'(x)D(x)-N(x)D'(x))/D^2
è chiaro che se N(x) e/o D(x) sono funzioni composte, per calcolare le loro derivate N'(x) e/o D'(x) da inserire nella formula, dovrai usare la regola del contenente e contenuto.
In questo esercizio (calcolo della derivata seconda) N'(x)=1 (immediata), mentre
D'(x)=1/(2rad(x^2-9)) * 2x
Spero di essermi spiegato ;)
ciao! nella tangente verticale mi puoi spiegare come si ottiene il risultato? grazie
In x=+-3 la funzione esiste e vale zero (si “pianta” nei punti (+-3;0)). La derivata invece per x=+-3 non esiste. Ha senso cercare di capire con quale inclinazione f si pianta in quei punti, per disegnare meglio il grafico. Calcolo quindi a cosa tende m (coefficiente angolare della tangente) per x che si avvicina ad x=+-3. Ottengo infinito, quindi la tangente tende ad assumere posizione verticale. Spero di aver risposto alla tua domanda…
ciao Albert senti non mi è chiaro nel calcolo dei massimi e minimi hai posto la derivata prima maggiore e uguale a zero. ma nel calcolarla il D>0 non dovrebbe essere,come per la positività, per ogni x appartenente a D???
Si, è così: infatti trovo che il denominatore è positivo quando esiste, ovvero per:
x<3 V x>3
che è appunto il dominio della funzione.
ciao Albert ti volevo chiedere come mai non hai fatto i limiti con x che tende a +3 ed a -3
grazie mille :)
Ciao Luca,
Nei punti x=+-3 la funzione esiste, è continua e vale y=0. In altre parole x=+-3 non sono punti di discontinuità e quindi non serve calcolarne il limite (che verrebbe zero per entrambi).
– Quando x tende a più infinito (positivo) tolgo il modulo e ottengo:
|x|/x=x/x= +1
– Quando x tende a meno infinito (x negative) tolgo il modulo e cambio segno:
|x|/x=-x/x= -1
non ho capito m perchè torna X/X = +-1?
grazie mille
E’ stato corretto l’errore relativo alla mia precedente segnalazione: “effettivamente nella soluzione c’è un errore di distrazione(anche se poi gli asintoti obliqui gli ho segnati giusti): i limiti non vanno uno a +inf e l’altro a zero, vanno entrambi a zero.”
Si certo, va benissimo anche razionalizzare come hai fatto tu!
Grazie, molto gentile.
Era giusto anche razionalizzare la radice?
lim
(rad(x^2-9)-x)(rad(x^2 -9)+x)/(rad(x^2-9)+x)=
-9/(rad(x^2-9)+x=?
che tende a 0 per x che va a + o – inf
Per x–>+inf m=+1 e ottengo:
lim (rad(x^2 -9) -x) =
lim (|x|rad(1 -9/x^2) -x)
(1 -9/x^2) tende a 1, inoltre x è positivo (perchè tende a +inf) e posso togliere il modulo, quindi:
lim (x -x) = 0
Per x–>-inf m=-1 e ottengo:
lim (rad(x^2 -9) +x) =
lim (|x|rad(1 -9/x^2) +x)
(1 -9/x^2) tende a 1, inoltre x è negativo (perchè tende a -inf) e posso togliere il modulo cambiando segno, quindi:
lim (-x +x) = 0
NB: effettivamente nella soluzione c’è un errore di distrazione(anche se poi gli asintoti obliqui gli ho segnati giusti): i limiti non vanno uno a +inf e l’altro a zero, vanno entrambi a zero.
Questo commento è stato eliminato dall’autore.
Ciao Albert, per favore mi scriveresti più in dettaglio i passaggi nel calcolo di f(x) -m(x)? Mi scuso per la banalità ma non mi è chiaro, mi pare che tu abbia raccolto l’x^2 sotto radice e nel portarlo fuori è diventato |x|, ma l’x fuori radice nel raccoglimento non dovrebbe diventare 1/x e quindi 0 quando x va + e – infinito?
Quindi |x| non dovrebbe risultare +inf a +inf e -inf a – inf?
Grazie
Si, infatti proprio per quello ho raccolto la x^2 sotto la radice…e quando ottengo |x|/x, se x>0 (+inf) semplifico le x e mi viene 1, se x<0 (-inf) viene -1.
salve, non ho ben chiaro il calcolo dell’asintoto obliquo. calcolando il limite per infinito di f(x)/x, al numeratore non dovrebbe risultare infinito?
Ciao Anonimo,
ci si arriva con la solita formula di derivazione delle funzioni fratte: (N’D – ND’) / D^2. In questo caso, per non usare troppi fratti, ti conviene applicarla così: (N’D – ND’)* (1/D^2) E vedrai che ti viene subito nella forma che ho scritto io.
Scusa albert ma non ho proprio capito come ci si arrivi alla derivata seconda scritta così grazie mille
Ciao Anonimo,
il denominatore della derivata seconda è sempre positivo (all’interno del dominio), mentre il numeratore è -9 (sempre negativo). Quindi la derivata seconda è sempre negativa nel dominio, e la concavità di f verso il basso.
ma ponendo la derivata seconda > di zero , i risultati non dovrebbero essere opposti? cioè concavità verso l’alto sia prima di -3, che dopo +3.. Grazie!
Ciao, ti sei dimenticato una x all’inizio (il num non derivato). Il procedimento corretto è questo:
f'(x)=x/rad(x^2 -9)
f”(x)=[1*rad(x^2 -9) – x*(2x)/(2rad(x^2 -9))]/(x^2 -9)
Si semplifica sia il 2 sia la x^2:
f”(x)= -9/(rad(x^(2)-9)*(x^(2)-9)
Quale x^2 si semplifica? Non capisco
scusami Albert ma non capisco: come fai nella derivata seconda a semplificare l’x^2 se questo sta sotto radice (nella fattispecie rad(x^2-9)-x^2)?
x^2 si semplifica quando fai il comune denominatore (rad(x^2-9)) al numeratore: ti resta x^2-9-x^2=-9
scusa la domanda stupida albert ma nella derivata seconda al numeratore come mai viene -9??
ho provato a farla mi viene al denominatore lo stesso pero al numeratore mi viene x^(2)-x-9
provo a riportarti i passaggio che ho fatto:
[rad(x^(2)-9)-1/(2 rad (x^2-9))2x]/x^2-9
semplifico il 2 e mi viene quello che ti ho spiegato:
(x^(2)-x-9)/(rad(x^(2)-9)*(x^(2)-9)
grazie mille:)