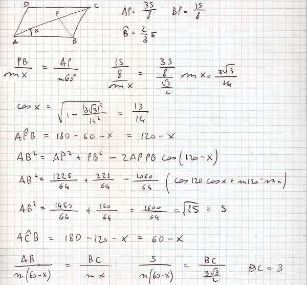
Il parallelogramma ABCD ha l’angolo ABC = 2/3 π e la sua bisettrice incontra la diagonale AC nel punto P in modo che AP = 35/8 e BP = 15/8 . Determina i lati del parallelogramma.
3 thoughts on “Trigonometria – Esercizio 20”
Se fosse stato scritto in arabo l’avrei capito!!!!!!!
Buonasera, volevo chiedere una spiegazione su come è stato applicato il teorema del seno nel primo passaggio. L’incognita x non dovrebbe corrispondere al valore del seno (e non a quello dell’angolo o del coseno)?
Ciao, si hai ragione, non era x ma senx. Ho modificato, e spero che il resto del procedimento sia giusto (ammetto che non è spiegato molto bene questo esercizio)
Se fosse stato scritto in arabo l’avrei capito!!!!!!!
Buonasera, volevo chiedere una spiegazione su come è stato applicato il teorema del seno nel primo passaggio.
L’incognita x non dovrebbe corrispondere al valore del seno (e non a quello dell’angolo o del coseno)?
Ciao, si hai ragione, non era x ma senx. Ho modificato, e spero che il resto del procedimento sia giusto (ammetto che non è spiegato molto bene questo esercizio)