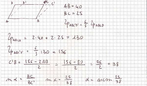
Il rettangolo ABCD ha i lati AB = 40 cm e BC = 25 cm ; il parallelogramma ABC’D’ ha i vertici C’ e D’ appartenenti alla retta CD . Il perimetro di ABC’D’ è i 6/5 del perimetro di ABCD. Calcola gli angoli del parallelogramma ABC’D’.
Una volta trovato il perimetro del parallelogramma (156cm^2), possiamo facilmente determinare le misure dei suoi lati obliqui.
Ricordando che in un parallelogramma i lati opposti sono uguali, otteniamo che i lati obliqui valgono 38cm = (156-80)/2.
Ora tracciamo la proiezione H del vertice D sul lato AB, che corrisponde all’altezza del parallelogramma e al lato del rettangolo (25cm); prendiamo in considerazione il triangolo rettangolo ADH e analizziamolo.
Applicando il Primo Teorema del Triangolo Rettangolo possiamo ricavarci l’angolo HAD:
HAD = sen^-1(DH/DA) –> HAD = sen^-1(25/38) –> HAD = 41,14°. Tale angolo è uguale anche all’angolo opposto del parallelogramma cioè all’angolo DCB.
Dato che la somma degli angoli interni del parallelogramma deve essere uguale a 360°, otteniamo immediatamente le ampiezza dei due angoli restanti (che essendo opposti sono uguali) e valgono 48,86°. Poiché (360°-41,14°-41,14°)/2 = 48,86°
non ho capito come ha trovato l’angolo
Una volta trovato il perimetro del parallelogramma (156cm^2), possiamo facilmente determinare le misure dei suoi lati obliqui.
Ricordando che in un parallelogramma i lati opposti sono uguali, otteniamo che i lati obliqui valgono 38cm = (156-80)/2.
Ora tracciamo la proiezione H del vertice D sul lato AB, che corrisponde all’altezza del parallelogramma e al lato del rettangolo (25cm); prendiamo in considerazione il triangolo rettangolo ADH e analizziamolo.
Applicando il Primo Teorema del Triangolo Rettangolo possiamo ricavarci l’angolo HAD:
HAD = sen^-1(DH/DA) –> HAD = sen^-1(25/38) –> HAD = 41,14°. Tale angolo è uguale anche all’angolo opposto del parallelogramma cioè all’angolo DCB.
Dato che la somma degli angoli interni del parallelogramma deve essere uguale a 360°, otteniamo immediatamente le ampiezza dei due angoli restanti (che essendo opposti sono uguali) e valgono 48,86°. Poiché (360°-41,14°-41,14°)/2 = 48,86°