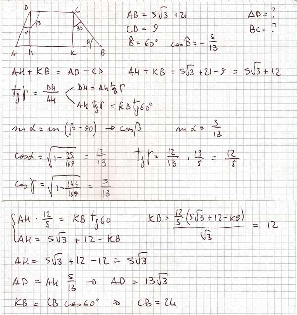
In un trapezio scaleno \(ABCD\) le basi misurano:
- \( AB = 5\sqrt{3} + 21 \)
- \( CD = 9 \)
Sapendo che:
- \( \angle B = 60^\circ \)
- \( \cos(\angle CDA) = -\frac{5}{13} \)
calcolare la lunghezza dei lati obliqui \( AD \) e \( BC \).

Soluzione
Per risolvere il problema, consideriamo che il trapezio ha:
- \( AH + KB = AD – CD \):
\[
AH + KB = AB – CD = (5\sqrt{3} + 21) – 9 = 5\sqrt{3} + 12
\]
Calcolo delle funzioni trigonometriche:
Poiché \( \cos(\angle CDA) = -\frac{5}{13} \), troviamo:
\[
\cos^2 \alpha = \frac{25}{169}, \quad \sin^2 \alpha = 1 – \frac{25}{169} = \frac{144}{169}
\]
\[
\sin \alpha = \frac{12}{13}
\]
Utilizzo della tangente per il triangolo:
Sappiamo che:
\[
\tan \alpha = \frac{\sin \alpha}{\cos \alpha} = \frac{\frac{12}{13}}{-\frac{5}{13}} = -\frac{12}{5}
\]
Calcolo della proiezione \( AH \) e risoluzione di \( KB \):
Scriviamo l’equazione per \( AH \):
\[
AH = KB \cdot \tan 60^\circ
\]
Dato che:
\[
AH + KB = 5\sqrt{3} + 12 – KB
\]
Risolvendo per \( KB \), otteniamo:
\[
KB = 12
\]
Calcolo del lato obliquo \( AD \):
Conoscendo \( AH \), possiamo trovare \( AD \):
\[
AD = AH \cdot \frac{5}{13}
\]
\[
AD = 13\sqrt{3}
\]
Calcolo del lato obliquo \( BC \):
Utilizzando il coseno di \( 60^\circ \) per \( CB \), abbiamo:
\[
AK = CB \cdot \cos 60^\circ
\]
Risolvendo per \( CB \), otteniamo:
\[
CB = 24
\]
Risultati Finali:
- \( AD = 13\sqrt{3} \)
- \( BC = 24 \)