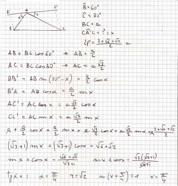
Considera il triangolo rettangolo ABC che ha gli angoli acuti ABC = 60° e BCA = 30° e l’ipotenusa BC = a . Per il vertice A conduci una retta s esterna al triangolo e indica con B’ e C’ le proiezioni ortogonali di B e C su di essa. Determina l’angolo CAC’ sapendo che il perimetro del trapezio BCC’B’ è (2 + √6 + √2)/2 a .

Perché alla fine hai posto tgx=1?
Dove va a finire nel penultimo passaggio il 2 che si somma a radice di 6 è radice di 2 , nel perimetro
come si elimina il 2 a numeratore nell’espressione di 2p nel passaggio in cui si raccolgono senx e cosx?
Sei riuscita a capirlo
Mi spiegate come si elimina il 2 al numeratore?
Graziee
Ma perchè BAB’ è uguale a CAC’???
C’è un errore nel grafico, ma non nella soluzione: BAB’ = 90° – CAC’
perchè BB’ è UGUALE A a/2 cos x
Perchè AB’B è rettangolo in B’, e AB, che è l’ipotenusa di tale triangolo, è uguale ad a/2