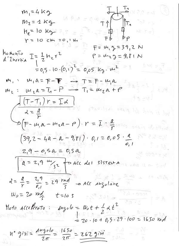
Due masse m1=4kg e m2=1kg, sono collegate da un filo inestensibile e privo di massa che aderisce ad una puleggia. a) Si determini l’accelerazione del sistema sapendo che le masse si muovono lungo la direzione verticale e che la puleggia sia schematizzabile come un disco di massa 10 Kg e raggio di 10 cm che ruota attorno al suo asse. b) Calcolare quanti giri compie il disco in 10 s se al tempo t0=0 la velocità angolare è di 20 rad/s.

Quando appena hai tempo potresti risolverli questi esercizi,per favore??Te ne sarei molto grata,ciao! :)
Ciao,
a parte che era urgente e io rispondo solo ora… mi dispiace ma non ho proprio tempo questi giorni.
Ragazzi c’è anche quest altro problema che non sono sicura di svolgere bene:
“Calcolare il numero dei giri effettuati dal disco per raggiungere la velocità angolare di 40 rad/s sapendo che al tempo t0=0 la velocità angolare iniziale è nulla.”
Ragazzi mi sapreste trovare M di questo problema??Potreste risolvermelo subito?Ho un esame!Grazie anticipatamente
“Due masse m1=2kg e m2=4kg,sono collegate da un filo inestensibile e privo di massa che aderisce ad una carrucola,schematizzabile come un disco,avente la massa M ed il raggio di 10cm,ruotante attorno al proprio asse.Si determini M sapendo che m1 e m2 si muovono lungo la direzione verticale e che l’accelerazione del sistema è di 2m/s^2.”