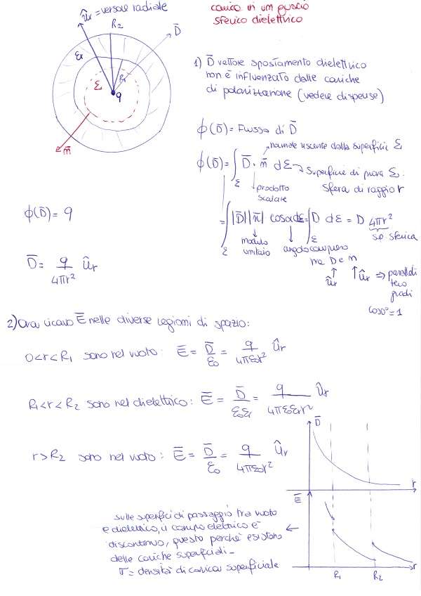
Una carica puntiforme carica positivamente è posta al centro di un guscio sferico di materiale dielettrico (costante dielettrica relativa εr, raggio interno R1, raggio esterno R2). Calcolare il vettore spostamento dielettrico D e il campo elettrico E in tutto lo spazio. Calcolare inoltre le densità di carica di polarizzazione sulle due superfici sferiche.


Se si volesse calcolare la densità volumetrica di polarizzazione, com e si potrebbe procedere?
Ma perche hai messo il flusso di D uguale a q?
sulle dispense c’è scritto q libere/”epsion 0″
E’ giusto qua, devo togliere epsilon0 nelle dispense, grazie!