Svolgere i seguenti esercizi:
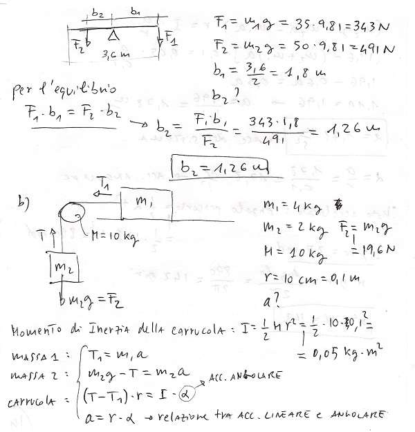
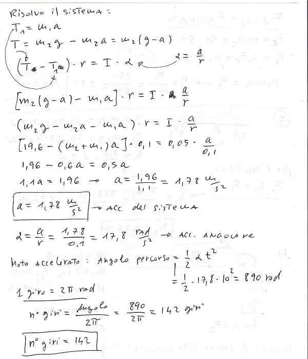
a) Un dondolo è costituito da una tavola uniforme di lunghezza 3.6 m appoggiata su un supporto (fulcro) posto al centro. Se un bambino avente la massa di 35 Kg siede ad una delle estremità della tavola calcolare a quale distanza dal fulcro deve sedere un altro bam- bino avente la massa di 50 Kg per bilanciare il dondolo. b)Due masse m1= 4kg e m2=2kg, sono collegate da un filo inestensibile e privo di massa che aderisce ad una carrucola, schematizzabile come un disco, avente la massa M = 10 Kg ed il raggio di 10 cm, ruotante attorno al proprio asse. La prima massa si muove su un piano orizzontale senza attrito mentre la seconda è sospesa e si muove lungo la direzione verticale. a) Si determini l’accelerazione del sistema. c) Calcolare quanti giri compie il disco in 10 s se al tempo t0=0 la velocità angolare iniziale è nulla.


La T applicata alla carrucola è rivolta verso il basso (nel disegno è rappresentata solo quella applicata a m2, verso l’alto). Analogamente la T1 applicata alla carrucola è rivolta verso destra.
T genera quindi un momento antiorario positivo (T*r) da sommare al momento orario di T1 (-T1*r).
Salve, mi potrebbe spiegare perchè nella terza equazione del sistema ha fatto T-T1? Io avrei fatto T1-T. La ringrazio.