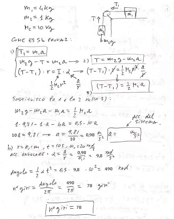
Due masse m1=4kg e m2=1kg, sono collegate da un filo inestensibile e privo di massa che aderisce ad una carrucola ruotante attorno al proprio asse. La prima massa si muove su un piano orizzontale senza attrito mentre la seconda è sospesa e si muove lungo la direzione verticale. a) Si determini l’accelerazione del sistema nel caso che la carrucola sia schematizzabile come un disco avente la massa di 10 Kg. b) Se il raggio del disco è di 10 cm calcolare quanti giri compie in 10 s se al tempo t0=0 la velocità angolare è di 20 rad/s.

Ciao, nel calcolo dei giri non hai tenuto conto della velocità angolare iniziale.
Ovvero: θ(t) = 1/2αt^2 + ω0t = 690 rad ; 690 rad / 2θπ = 109 giri
ciao :) io trovo ancora un errore quando viene calcolato l’angolo, non è stato considerato il w0t.
ma m2 non dovrebbe essere la massa piu grande? perchè altrimenti il sistema non si muove
Il fatto che sul piano non c’è attrito garantisce il movimento al di là delle masse. Qualsiasi forza orizzontale, piccola a piacere, applicata ad m1, la metterebbe in movimento.
No no, hai proprio ragione: chissà a cosa pensavo quando ho fatto sto esercizio… :)
Ora ho modificato, grazie!
Ciao!
Scusa Albert, forse mi sbaglierò ma ho riscontrato un errore nell’angolo da te calcolato. Angolo= ωot+1/2αt^2.
il testo dice che abbiamo una velocita angolare iniziale che vale 20 rad/s. quindi penso che vada inserita nella formula di calcolo dell’angolo..
Prego! :) Complimenti per il sito comunque! Mi è stato molto utile…
Modificato, ora è giusto! Ciao!
è vero! modificherò i conti al più presto, grazie della segnalazione!
Ho riscontrato un errore in questo esercizio… ma non dovrebbe essere 10a=9,81?