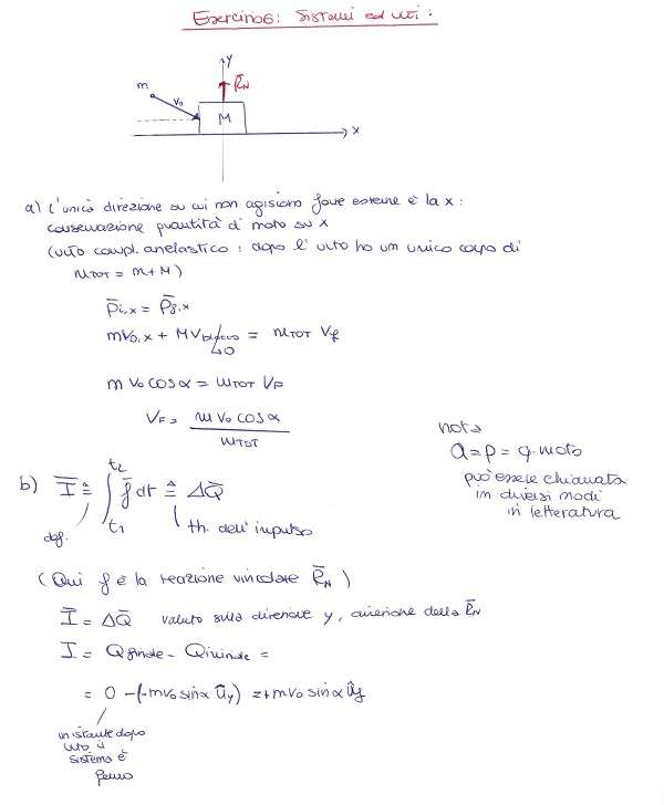
Un blocco di massa M in quiete su di un piano orizzontale liscio è colpito da un blocco di massa m che si sta muovendo con una certa velocità Vo inclinata verso il basso di un angolo α rispetto all’orizzontale. Avviene un urto completamente anelastico.
a) Quanto vale la velocità finale del sistema che si viene a creare?
b) Quanto vale l’impulso esercitato sul piano dal blocco durante l’urto?

Grazie!