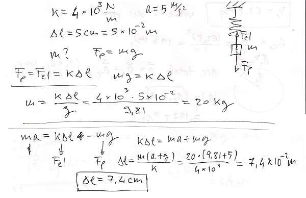
Una molla ha una costante elastica pari a k=4*103 N/m. Se ad essa viene sospeso un corpo si verifica un allungamento pari a 5 cm. Determinare la massa del corpo. Calcolare l’allungamento nel caso che la molla sia sospesa al soffitto di un ascensore che si muove verso l’alto con un’accelerazione costante di 5m/s2.

ma il risultato e’ sbagliato..a me da’ 2,1 kg non 20 kg
Non mi è chiaro il secondo punto. qualcuno potrebbe spiegarmi meglio che succede? cosa succede fisicamente al corpo che viene tirato su dall’ascensore?
grazie mille.
va verso il basso
la seconda richiesta non dovrebbe essere F(el) – F(peso)=-ma ??
Poichè l’ascensore esercita una forza nello stesso verso della forza elastica…
Dunque viene
allungamento=[m(-5 m/s^2 + g)] / k= 9,6 x 10^-2????
Chiaritemi questo dubbio per favore. è importante. grazie mille
grazie mille, mi è stato molto utile