Svolgere i seguenti esercizi:
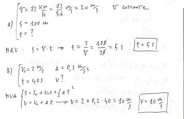
a) Un corpo viaggia alla velocità costante di 72Km/h. Calcolare in quanto tempo percorre 100 m.
b) Se su un corpo avente la velocità iniziale di 2m/s si imprime un’accelerazione costante di 0.2m/s2 qual è la velocità raggiunta dopo 40 secondi?
c) Raggiunta la velocità di 10 m/s il corpo va a comprimere, su un piano orizzontale, una molla avente una costante elastica di 1000N/m. Calcolare la compressione massima della molla ed il tempo impiegato a comprimerla sapendo che il corpo ha una massa di 100g.
Soluzione
c) Tutta l’energia cinetica del corpo \[ E_{C}=\frac{1}{2}mv^{2} \] si trasforma in energia potenziale elastica \[ E_{P}=\frac{1}{2}kx^{2} \] quindi \[ E_{C}=E_{P} \] \[ \frac{1}{2}mv^{2}=\frac{1}{2}kx^{2} \] Possiamo ricavarci la compressione massima x della molla: \[ x=\sqrt{\frac{mv^{2}}{k}}=\sqrt{\frac{0,1\cdot10^{2}}{1000}}=0,1\: m \] \[ x=10\: cm \] Il moto è armonico, la pulsazione vale \[ \omega=\sqrt{\frac{k}{m}}=\sqrt{\frac{1000}{0,1}}=100\: s^{-1} \] La durata di un’oscillazione completa, ovvero il periodo, vale \[ T=\frac{2\pi}{\omega}=\frac{2\pi}{100}=0,0628\: s \] Dall’istante in cui il corpo viene a contatto con la molla, all’istante in cui si ha massima compressione, la molla ha effettuato mezza oscillazione. Di conseguenza il tempo cercato sarà la metà del periodo: \[ t=\frac{T}{2}=\frac{0,0628}{2}=0,0314\: s \]

Ciao! scusa se ti disturbo ma non si può risolvere il [Math Processing Error] ? :D
Non saprei, prova a cambiare/aggiornare il broswer…o semplicemente aggiornare la pagina quando ti succede. Poi fammi sapere visto che sei il primo che mi segnala questo errore