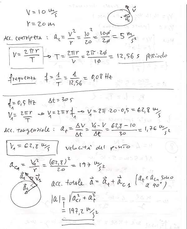
Un punto materiale si muove di moto circolare uniforme con una velocità di 10 m/s su di una circonferenza di raggio pari a 20 m . Calcolare l’accelerazione centripeta del punto materiale ed il periodo. Se il numero di giri al secondo aumenta a 0.5 in 30 secondi con un’accelerazione tangenziale costante, determinare la velocità e l’accelerazione totale del punto.

un aereo compie un giro della morte di raggio=2 km. qual è la velocità minima che gli consente di completare il giro?
ciao ho un problema che non riesco a risolvere: Due particelle P1 e P2, descrivono due traiettorie che si intersecano in un punto O. La particella P1 descrive una traiettoria rettilinea di moto unforme, con v=10 m/s e all’istante t=0 è nella posizione A, a distanza d=50m da O. Nello stesso istante la particella P2 parte da ferma nella posizione B accelerando uniformemente e descrivendo una traiettoria circolare di raggio r=160 m; essa giunge in O con il titardo DT=2s, rispetto alla particella P1. Sapendo che l’arco BO ha la lunghezza pari a 1/4 di circonferenza, determinare: a) l’accelerazione scalare costante della particella P2; b) il modulo dell’accelerazione centripeta e il modulo del vettore accelerazione risultante della particella P2….. Potresti aiutarmi?
Mi dispiace, ma non risolvo esercizi nei commenti…
Ciao, sono praticamente disperata a breve avrò un compito in classe su questo argomento e ho un esercizio di simulazione che nn mi viene:
Una massa di 20 g attaccata ad una corda inestensibile lunga 120 cm si muove lungo una circonferenza orizzontale, con velocità costante di modulo 1,50 m/s. Quali forze agiscono sulla massa e qual’è il loro modulo?
L’accelerazione nel tuo moto circolare, visto che la velocità tangenziale è costante, corrisponde con quella centripeta, e vale:
a=v^2/R=(1,50)^2/0,12= 18,75 m/s
Agirà quindi solo la forza centripeta, di modulo:
F=ma= 0,020*18,75 = 0,38 N
v = 10 m/s
T = 15,7 s
v=(2piR)/T –>
–> R=(vT)/(2pi) –>
–> R=(10*15,7)/(2*3,14)= 25 m
ac=(v^2)/R –>
–> ac=(10^2)/25= 4 m/s^2
Scusa,ciao,ho un esame a settembre e non so come si risolve questo esercizio,sono disperata.Se mi aiutassi te ne sarei grata…
Un punto materiale si muove di moto circolare uniforme con una velocità di 10 m/s con un periodo di 15,7s.Calcolare il raggio della circonferenza e l’accelerazione centripeta del punto materiale