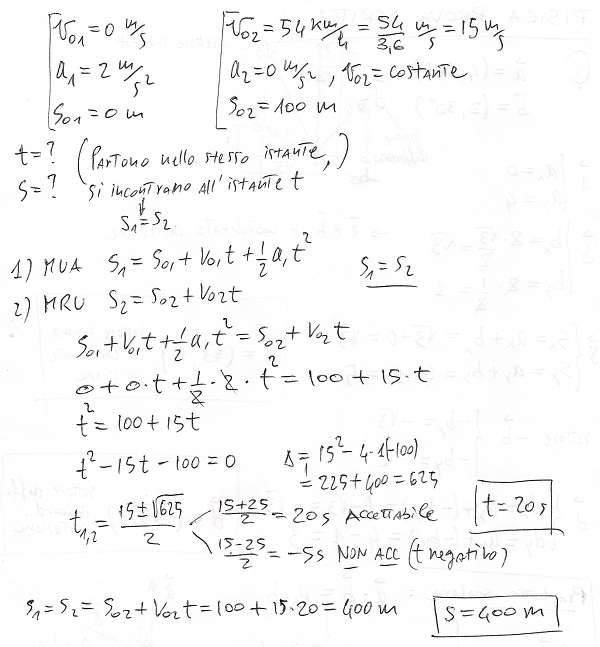
Due corpi puntiformi cominciano a muoversi contemporaneamente nello stesso verso e sulla stessa retta. Il primo parte con una velocità iniziale nulla e conduce un moto con un’accelerazione costante pari 2m/s2 . Il secondo ha una posizione iniziale di 100 m rispetto al primo e parte con una velocità di 54 Km/h che mantiene costante. Si determini dove e quando i due corpi si incontreranno.

Albert, ho letto quali sono le attività, mi riferivo agli esercizi, sia di fisica che di matematica. Se lo scopo è di insegnare a risolverli, bisogna spiegare cosa si fa, per evitare che tutti i commenti ricevuti siano richieste di ulteriori spiegazioni!
Preferisco che siate voi a farmi sapere quali sono i passaggi che volete approfondire e quali no… in ogni caso se lo scopo è di insegnare a risolverli il metodo migliore in assoluto è la lezione frontale, questo invece è un sito gratuito, non chiederei troppo…
Non potrebbe spendere due parole per spiegare cosa fa e perchè??
Ciao, le mie attività professionali sono descritte qui:
http://www.matelezioni.info/p/chi-sono.html
Se vuoi saperne di più puoi contattarmi tramite il modulo di contatto che trovi al link qui sopra.