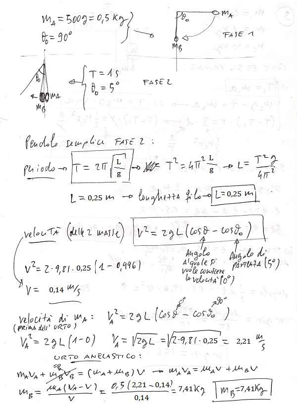
Un pendolo semplice è costituito da una massa mA di 500 g vincolata all’estremità di un filo inestensibile privo di massa. La massa mA, portata nella posizione in cui il filo forma un angolo di 90° rispetto alla verticale, viene lasciata cadere e quando arriva nella posizione in cui il filo si dispone lungo la verticale colpisce una massa mB. Dopo l’urto le due masse si muovono unite ed il pendolo oscilla compiendo piccole oscillazioni di periodo pari a 1s . Sapendo che dopo l’urto il filo forma con la verticale un angolo massimo di 5° calcolare a) la lunghezza del pendolo b) la velocità con la quale la massa mA urta mB c) il valore della massa mB.

Ciao Anonimo,
si grazie: viene 7,39 Kg, ho modificato.
Ciao scusami ma svolgendo i calcoli dell’ultimo passaggio,urti anaelastici,nn mi trovo con il tuo risultato di mB=0,145 ma 7,39.
Ciao Fabio, grazie della segnalazione, nella formula L e g erano invertite. Ora ho modificato e la lunghezza viene 0,25m come a te. Sostituendo poi questo valore nelle formule successive il risultato finale viene un po’ diverso dal tuo, magari prova a controllare se hai fatto i conti giusti…
Ho sbagliato, il principio di conservazione dell’energia totale l’ho utilizzato per calcolare la velocità della massa m1 nel momento in cui impatta con m2 dato che Ep(A)+Ek(A)=Ep(B)+Ek(B) prendendo il punto A come la posizione di m1 che forma un angolo di 90° con la verticale e B il punto sulla verticale.
per calcolare m2 ho utilizzato la quantità di moto come da voi illustrato nello svolgimento.
La formula del periodo T è sbagliata.
T=2pi/w=2pi * (lg)^1/2
si ottiene che la lunghezza del filo l=0,25m
Di conseguenza si ottiene che la velocità delle 2 masse è di v=w*l=1,58 m/s
e la massa m2 (ho utilizzato il principio di conservazione dell’energia totale)
è m2 = 0,2 kg = 200g
Vi ringrazio comunque per gli altri esercizi che sono corretti.