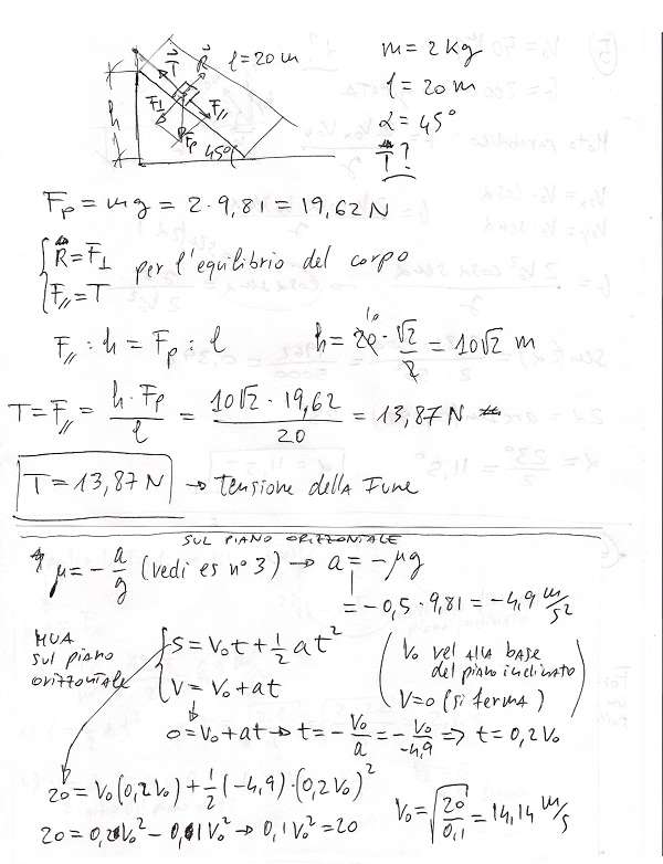
Un corpo è tenuto fermo da una fune sopra un piano inclinato lungo 20 m e inclinato di un angolo di 45°. Supposto che la massa del corpo sia 2 Kg, determinare la tensione della fune in assenza di attrito tra il corpo ed il piano. Un piano orizzontale è posto alla fine del piano inclinato. Come deve essere modificato l’angolo di quest’ultimo perché, tagliata la fune, il corpo si arresti sul piano orizzontale con coefficiente di attrito 0,5 in uno spazio di 20 m.


Scusami Alberto, potresti dirmi se questo ragionamento è corretto?
Sul piano orizzontale:
Fa=ma
mgµs = ma
a= gµs = 4,91
Mettendo a sistema le leggi del moto uniformemente accelerato ricavo:
-a= (V^2- Vo^2)/2s –> Vo= √2as = 14 m/s
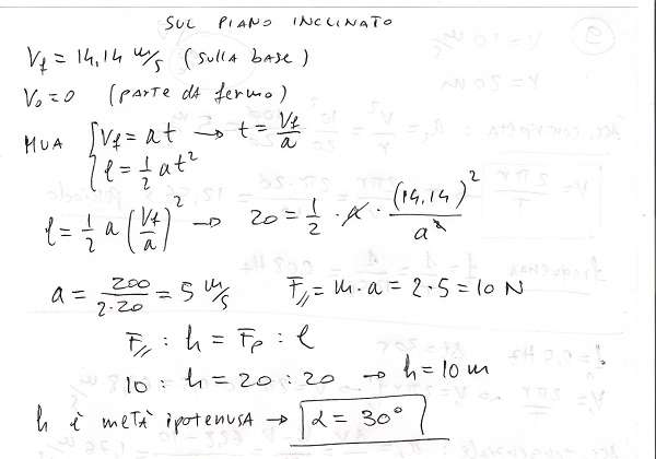
Sul piano inclinato:
Vo= 0
V= 14 m/s ( velocità iniziale sul piano orizzontale)
Conservazione energia meccanica:
U1=K2
mgh=1/2 mv^2
h= v^2/2g = 10 m
sinθ =h/l –> θ= sin^(-1) h/l
Ho sbagliato qualcosa??
non ho capito l’ultimo passaggio quando ti trovi l’ipotenusa e l’angolo.
ma F2 non sarebbe Fx,Fx =F2= Fp x cos alfa. è giusto?
lo stesso vale per la F(perpendicolare), uguale a Fy=Fp x sen alfa?
ma alla fine basta fare mgh=(coefficiente d’attrito)x mg x (lunghezza dell’ipotenusa)
Si può utilizzare anche l’approccio energetico, anche se non ho capito bene il tuo procedimento… in ogni caso se ti viene giusto buon per te :)
Perchè dividere per 4,9 (circa=5) è come moltiplicare per 0,2
t = -Vo/-4,9 =
= Vo/4,9 =
= (1/4,9)*Vo =
0,2*Vo
sul finire della prima pagina leggo:
t = -V0/-4.9 => t = 0.2 V0
perchè t diventa 0.2 V0 ????
Ciao Chiara,
si infatti nel procedimento è scritto proprio T=F(parallela). Il passaggio in più è dato dal fatto che F(parallela)=13,9N te la devi prima calcolare…
Nella prima parte del problema per determinare la Tensione basta considerare la risultante delle forze sull’asse x : Fp(parallelo)- T = m*a
ma siccome a=0
viene: P(parallelo)-T=0
ovvero–> 13,9-T=0
T= 13,9
ed in un solo passaggio è risolto!