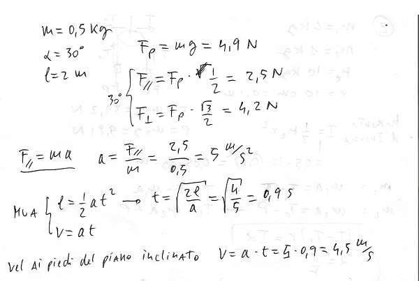
Una massa di 0.5Kg è lasciata libera di cadere lungo un piano inclinato di un angolo di 30°. Dopo essere scivolata senza attrito lungo il piano per 2m il corpo urta contro una molla posta su un piano orizzontale ed avente una costante elastica di 1000 N/m. a) Determinare il massimo accorciamento subito dalla molla. b) Calcolare il tempo impiegato dal corpo a comprimere la molla.
Soluzione:
Sul piano orizzontale, quando il corpo colpisce la molla, tutta l’energia cinetica del corpo \[ E_{C}=\frac{1}{2}mv^{2} \] si trasforma in energia potenziale elastica \[ E_{P}=\frac{1}{2}kx^{2} \] quindi \[ E_{C}=E_{P} \] \[ \frac{1}{2}mv^{2}=\frac{1}{2}kx^{2} \] Possiamo ricavarci la compressione massima x della molla: \[ x=\sqrt{\frac{mv^{2}}{k}}=\sqrt{\frac{0,5\cdot4,5^{2}}{1000}}=0,1\: m \] \[ x=10\: cm \] Il moto è armonico, la pulsazione vale \[ \omega=\sqrt{\frac{k}{m}}=\sqrt{\frac{1000}{0,5}}=44,72\: s^{-1} \] La durata di un’oscillazione completa, ovvero il periodo, vale \[ T=\frac{2\pi}{\omega}=\frac{2\pi}{44,72}=0,14\: s \] Dall’istante in cui il corpo viene a contatto con la molla, all’istante in cui si ha massima compressione, la molla ha effettuato mezza oscillazione. Di conseguenza il tempo cercato sarà la metà del periodo: \[ t=\frac{T}{2}=\frac{0,14}{2}=0,70\: s \]

Se t è la metà del periodo equivale a 0.07 non a 0.7
Salve perché nell’istante in cui viene a toccar la molla fino ad accorcirla la molla ha effettuato solo mezza oscillazione?da cosa si capisce?
istante in cui viene a toccar la molla = molla a riposo
fino ad accorciarla = massima compressione
molla a riposo – max compressione = mezza oscillazione
Ciao Vittoria,
si esatto, ho modificato, grazie!
il periodo T misura 0,14s e non 0,014