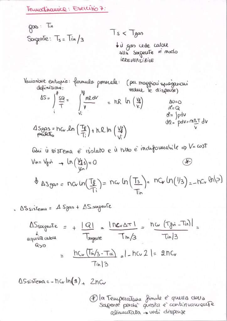
Un gas perfetto monoatomico è contenuto in un recipiente indeformabile e si trova alla temperatura T_in. Ad un certo istante viene messo a contatto con una sorgente che si trova ad una temperatura: Ts=T_in/3. Essendo il sistema isolato, raggiunge un equilibrio termico. Quanto vale la variazione dell’entropia del gas e quella del sistema?

ma per l’entropia del gas la temperatura finale dovrebbe essere quella di equilibrio, no? A meno che non venga specificato che la sorgente di calore rimane a temperatura costante…oppure è sottinteso?
Perchè la variazione di entropia del gas è dato dalla somma di quei due termini? Perchè non è solo ncvln(Tf/Tin)?
Scusatemi ma come mai Δs(gas) prima è uguale a:
nCvln(1/3) e dopo diventa:
nCvln3?
Era un errore, abbiamo corretto!
Diventa -ncvln(3), per proprietá dei logaritmi: ln(1/3)=ln(1)-ln(3). Ln(1)=0.