cara anna stai zitta antipatica non ssei la genia della classe LOGGA SU FIFA ok ignirante!!!!!!!!!!!!!!!!!!!!!!!!!!!!!!!!!!!!!!!!!!!!!!!!!!!
potete aiutarmi a svolgere questo esercizio?logx + log x(elevato alla 2°) + log x( elevato alla 3°)= 6 risultato: x=10 Rispondi
come risolvere log in base 3.log in base 1\3 ARGOMENTO(2X-3)<=0
Buongiorno mi aiuterete a risolvere questo logaritmo?
Log(radice di 10^-114 x C^16)/10^9)=8
cara anna stai zitta antipatica non ssei la genia della classe LOGGA SU FIFA ok ignirante!!!!!!!!!!!!!!!!!!!!!!!!!!!!!!!!!!!!!!!!!!!!!!!!!!!
potete aiutarmi a svolgere questo esercizio?
logx + log x(elevato alla 2°) + log x( elevato alla 3°)= 6 risultato: x=10
log x + 2 log x + 3 log x= 6
6 log x= 6
log x= 1
x= 10
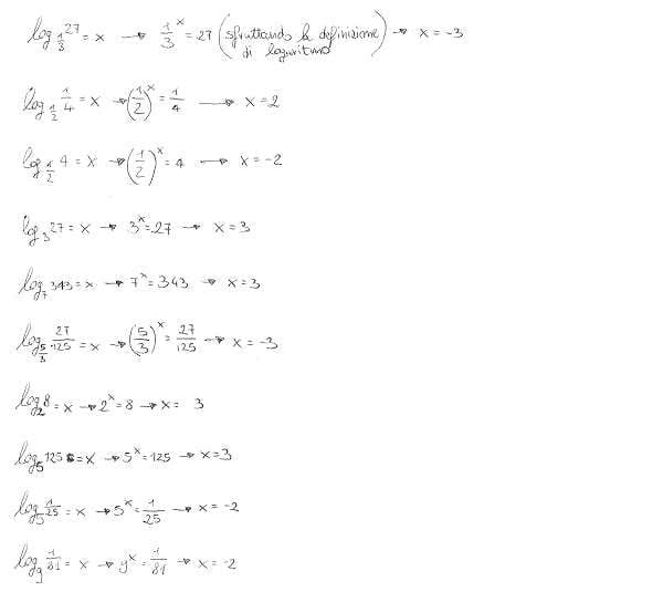
si ma l’ultimo non è x= -1/2 ?
no è giusto così perchè 9^(-2)=1/9^2=1/81
No perché:
9^x= (1/81 è come dire 1/9^2)
girando la frazione = 9^-2 e quindi x=-2