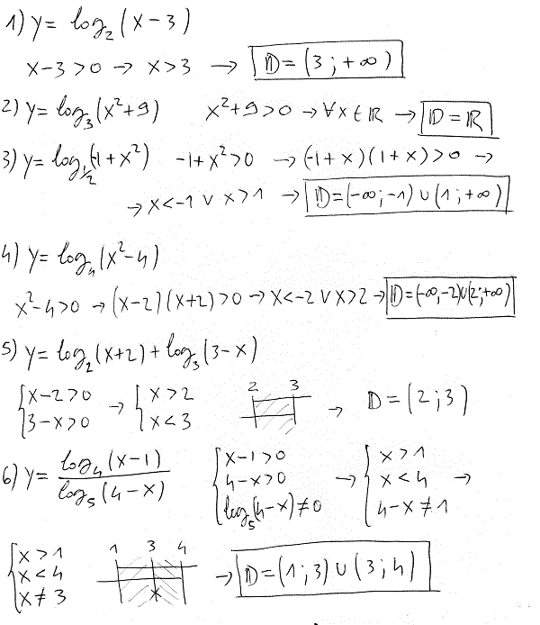
scusat e ma nel 3 come mai cambia il verso della disequazione ?in teoria nn cambia solo se si divide o si moltiplica x una quantitò negativa? in questo caso per “portare di la” l’1 basterebbe applicare il primoprincipio e quindi il verso nn dovrebbe cambiare no??
perchè il logaritmo è diverso da zero quando il suo argomento è diverso da 1
perche il log e diverso da 0 quando l’argomento è diverso da 1 quindi log5 =0 di qualsiasi cosa fa 1 perche 5 elevato 0 da 1, quindi log5 di x =/0 e come dire x=/1
x^2 +9 > 0 –> x^2 > -9 è sempre vera perchè x^2 è sempre maggiore o uguale a zero, e a maggior ragione sarà sempre maggiore di un numero negativo (-9 in questo caso)
perche verrebbe x^2 > -9 che qualsiasi numero elevato alla seconda è uguale o maggiore di zero, quindi anche di un numero negativo, poi devo considerare che la radice quadrata di -9 non esiste
Grazie Eliana, ho modificato il testo così ho fatto prima :)
scusat e ma nel 3 come mai cambia il verso della disequazione ?in teoria nn cambia solo se si divide o si moltiplica x una quantitò negativa? in questo caso per “portare di la” l’1 basterebbe applicare il primoprincipio e quindi il verso nn dovrebbe cambiare no??
Perché la base è minore di 1
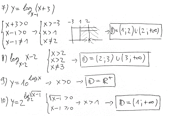
Mi spieghi il 10?
Ex. 5 perché (x^2+2) diventa x^2-2>0?
secondo me si è sbagliato a scrivere… me lo chiedevo pure io!
EX 7; PERCHE’ x-1=/1???
perchè la base di un logaritmo non può essere 1
Ciao… ma perché nell’es 6 il log da diverso da 0 diventa diverso da 1? grazie :)
perchè il logaritmo è diverso da zero quando il suo argomento è diverso da 1
perche il log e diverso da 0 quando l’argomento è diverso da 1 quindi log5 =0 di qualsiasi cosa fa 1 perche 5 elevato 0 da 1, quindi log5 di x =/0 e come dire x=/1
x^2 +9 > 0 –> x^2 > -9 è sempre vera perchè x^2 è sempre maggiore o uguale a zero, e a maggior ragione sarà sempre maggiore di un numero negativo (-9 in questo caso)
Ciao Albert, ma nell’esercizio 2
quando hai x elevato a (2) + 9 > 0 perchè non è x > + – 3? Ma tutto R..
Grazie
perche verrebbe x^2 > -9 che qualsiasi numero elevato alla seconda è uguale o maggiore di zero, quindi anche di un numero negativo, poi devo considerare che la radice quadrata di -9 non esiste
Grazie Eliana,
ho modificato il testo così ho fatto prima :)
Errore nell’esercizio 5: nel testo abbiamo (x+2) ma nel sistema diventa (x-2). Svista nel segno dell’argomento.