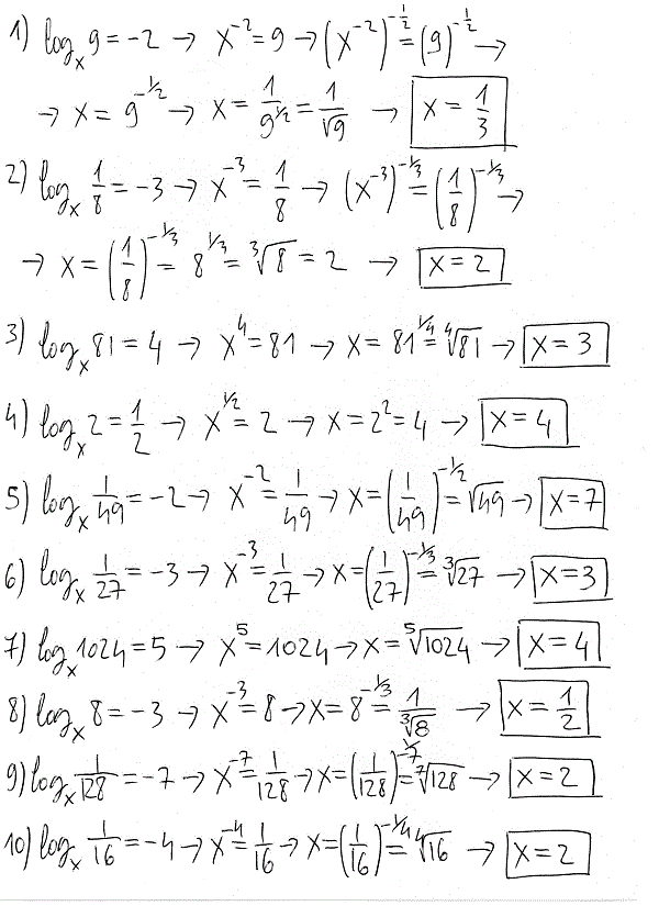
Il tuo obiettivo è trovare la x. Al primo membro hai x^(-2), per trovare x devi elevare il primo membro (e di conseguenza anche il secondo, perchè hai un’equazione) alla -1/2, che è il reciproco di -2. In questo modo al primo membro ottieni:
(x^(-2))^(-1/2) = = x^((-2)*(-1/2)) = = x^1 = x
Infatti il tuo obiettivo era proprio avere la x al primo membro…
io non capisco il procedimento, mi spieghi perché ad esempio nel primo logaritmo si elevano entrambi i membri a – 1/2 e nel secondo logaritmo si eleva tutto a – 1/3?
come si risolve ? logx 0,2 = – 2 ? grazie!
x=1/10
perchè? se x elevato -4 è uguale a 1/128 è ovvio che x elevato a +4 è uguale a 128. da cui ottieni x=2. Certo che poteva evitarsi l a radice.
scusami ma non è più semplice fare tipo la prima: x^(-2)=3^2 -> x^(-2)=1/3^(-2) –>X=1/3?
Si in questi esercizi si può fare anche così!
qualcosa non mi convince all’esercizio 9!
L’esercizio 9 è corretto, cosa non ti convince?
Il tuo obiettivo è trovare la x. Al primo membro hai x^(-2), per trovare x devi elevare il primo membro (e di conseguenza anche il secondo, perchè hai un’equazione) alla -1/2, che è il reciproco di -2. In questo modo al primo membro ottieni:
(x^(-2))^(-1/2) =
= x^((-2)*(-1/2)) =
= x^1 = x
Infatti il tuo obiettivo era proprio avere la x al primo membro…
io non capisco il procedimento, mi spieghi perché ad esempio nel primo logaritmo si elevano entrambi i membri a – 1/2 e nel secondo logaritmo si eleva tutto a – 1/3?
Ciao Anonimo,
perchè quando ho:
x^4 = 81
elevo, al primo e secondo membro, alla 1/4:
(x^4)^(1/4) = 81^(1/4)
In questo modo al primo membro mi rimane x, e al secondo ho il risultato.
PERCHE NELL ESERCIZIO 3 DOPO X ELEVATO A 4 UGUALE 81, DIVENTA 81 ELEVATO A 1/4 ?