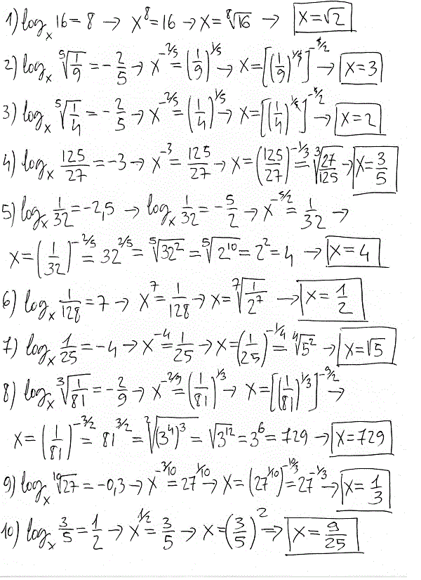
Ciao Jessica, il 9 è giusto, ti spiego i passaggi. Dalla definizione di logaritmo: -0,3 è l’esponente che devi dare alla base x per ottenere l’argomento 27^(1/10). Quindi: x^(-0,3)=27^(1/10) visto che 0,3=3/10: x^(-3/10)=27^(1/10) elevo a dx e sx alla -10/3 (che è il reciproco dell’esponente della x) e ottengo: x=(27^(1/10))^(-10/3) x=27^(-1/3)=1/3
Potresti spiegarmi il procedimento del primo esercizio?
Come sei passato dalla radice ottava di 16 alla radice quadrata di 2?
Ho capito come hai fatto :)
adesso ho capito. Grazie!
Ciao Jessica,
il 9 è giusto, ti spiego i passaggi.
Dalla definizione di logaritmo: -0,3 è l’esponente che devi dare alla base x per ottenere l’argomento 27^(1/10). Quindi:
x^(-0,3)=27^(1/10)
visto che 0,3=3/10:
x^(-3/10)=27^(1/10)
elevo a dx e sx alla -10/3 (che è il reciproco dell’esponente della x) e ottengo:
x=(27^(1/10))^(-10/3)
x=27^(-1/3)=1/3
perchè nella 9 x^-3/10? se -0.3 =-1/3 e nn -10/3, quindi nn sarebbe x^-1/3*-3 e quindi 27^1/10*1/3?