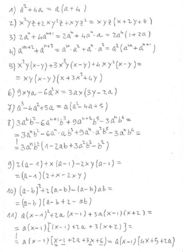
Scomposizioni – Raccoglimento totale Scomporre in fattori i seguenti polinomi, mettendo in evidenza, in ciascuno di essi, i fattori comuni:
la 11) il risultato e’ (x-1)(4x+7) controlla quando metti in evidenza la a nel secondo passaggio Rispondi
grazie comunque l’ultima è a*(x-1) (4x+7)
confermo
la 11) il risultato e’ (x-1)(4x+7) controlla quando metti in evidenza la a nel secondo passaggio
Veramente il risultato è = a(x-1)(4x+7)