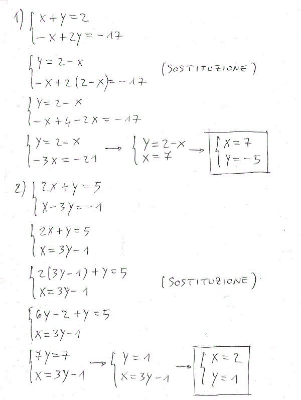
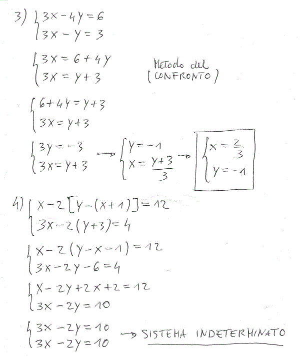
Sistemi lineari con due incognite Risolvere i seguenti sistemi di equazioni numeriche di primo grado in due incognite:
Come sito per esercitarsi è molto efficiente, l’ho usato svariate volte per esercitarmi e non mi ha mai deluso Rispondi
Come sito per esercitarsi è molto efficiente, l’ho usato svariate volte per esercitarmi e non mi ha mai deluso
grazie