One thought on “Integrali doppi – Coordinate polari – Esercizio 1

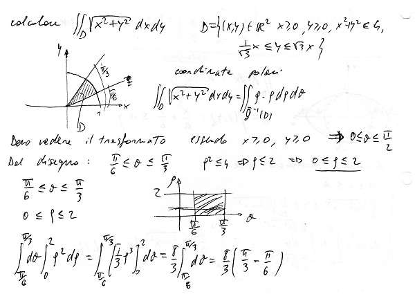
  1. Scusate la domanda.Ma oltre al metodo grafico qual’è il metodo matematico per ricavare che theta è compresa tra pi/3 e pi/6?

Lascia un commento

Il tuo indirizzo email non sarà pubblicato. I campi obbligatori sono contrassegnati *