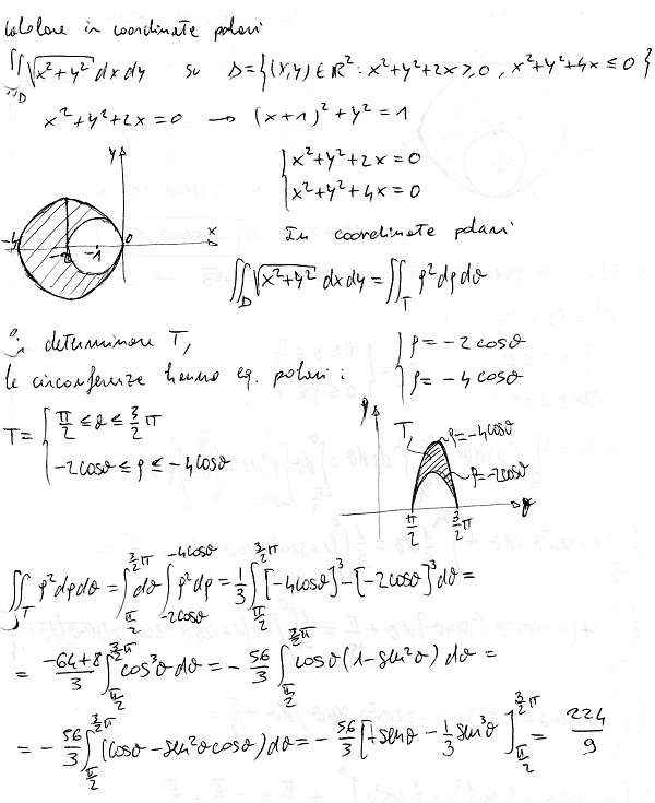
Ciao , da questo esercizio non riesco a capire come hai trovato le condizioni per il parametro teta ! Attendo risposta :D Rispondi
Ciao , da questo esercizio non riesco a capire come hai trovato le condizioni per il parametro teta ! Attendo risposta :D
ascolta per trovare teta ha messo a sistema i due ro