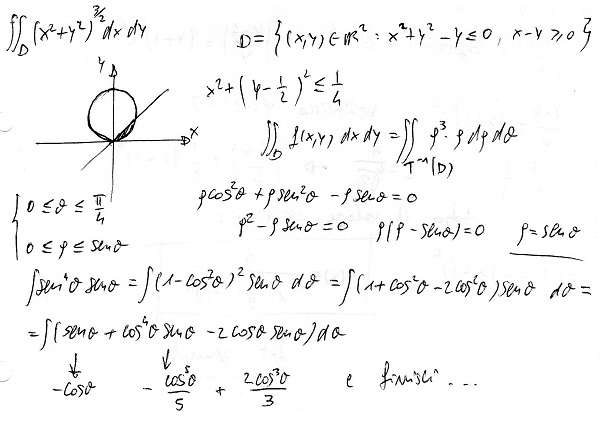
Buongiorno :) mi chiedevo… ma se ro e´ uguale al sin e ro=1/2, l´angolo non dovrebbe essere TT/6? grazie Rispondi
Buongiorno :) mi chiedevo… ma se ro e´ uguale al sin e ro=1/2, l´angolo non dovrebbe essere TT/6? grazie