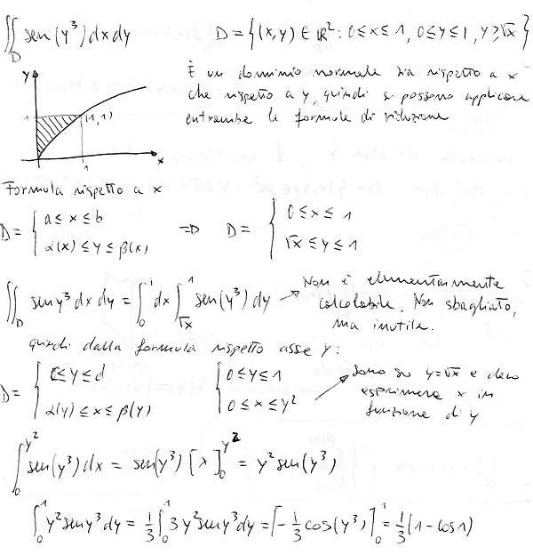
Salve, per quale motivo nel testo si ha sen(y^2) e nello svolgimento con entrambe le formule ritroviamo sen(y^3)? Per quale motivo sen(y^2) è aumentato di un grado? Rispondi
Era fin dall’inizio sen(y^3), ora ho corretto, grazie!
Salve, per quale motivo nel testo si ha sen(y^2) e nello svolgimento con entrambe le formule ritroviamo sen(y^3)? Per quale motivo sen(y^2) è aumentato di un grado?