2 thoughts on “Integrali doppi – Domini normali – Esercizio 4”
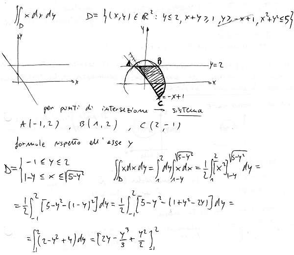
Non ho ben capito la traccia. E’ stata cancellata la 3a disequazione nella definizione nell’insieme, ma nel disegno è stata considerata, mentre, sempre nel disegno, è stata ignorata la seconda disequazione (fuori di un cerchio di raggio 1)
Inoltre c’è un errore di segno, all’inizio l’integrale dovrebbe partire da -1 non 1
Non ho ben capito la traccia.
E’ stata cancellata la 3a disequazione nella definizione nell’insieme, ma nel disegno è stata considerata, mentre, sempre nel disegno, è stata ignorata la seconda disequazione (fuori di un cerchio di raggio 1)
Inoltre c’è un errore di segno, all’inizio l’integrale dovrebbe partire da -1 non 1
la seconda è la terza sono identiche (dicono la stessa cosa y>=-x+1), mentre si, parte da -1, ma poi rimedia alla svista nei passaggi successivi.