
Problema
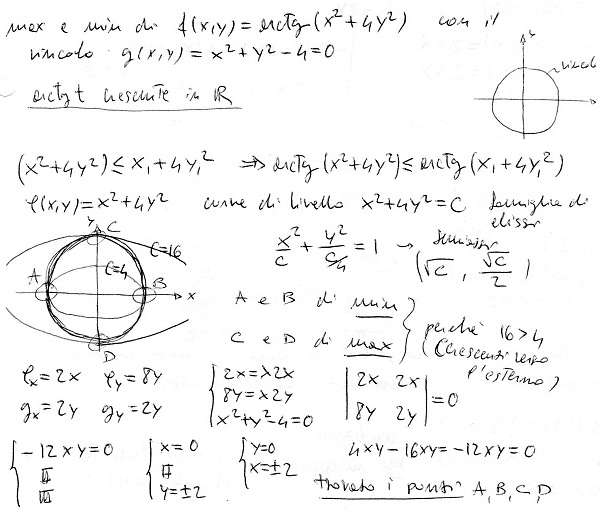
Max e Min di \( f(x,y) = \arctan(x^2 + 4y^2) \) con il vincolo \( g(x,y) = x^2 + y^2 – 4 = 0 \).
Considerazioni
\( f(x,y) \) è crescente in \( \mathbb{R} \).
Dimostrazione
\( x^2 + 4y^2 \leq x^2 + 4y^2 \Rightarrow \arctan(x^2 + 4y^2) = \arctan(x_1^2 + 4y_1^2) \)
\( g(x,y) = x^2 + 4y^2 \) – curve di livello \( x^2 + 4y^2 = C \).
Famiglia di ellissi
\( \frac{x^2}{C} + \frac{y^2}{\frac{C}{4}} = 1 \)
Simmetria \( \frac{\sqrt{C}}{\sqrt{\frac{C}{2}}} \)
Punti di Massimo e Minimo
Punti \( A \) e \( B \) di minimo.
Punti \( C \) e \( D \) di massimo.
Derivate parziali
\( g_x = 2x \), \( g_y = 8y \), \( g_y = 2y \).
\[
\begin{cases}
2x = \lambda 2x \\
8y = 2y
\end{cases}
\]
\( 2x = \lambda 2x \)
\( 8y = 2y \)
\( x = 0 \), \( y = 0 \)
Soluzione del sistema
\[
\begin{cases}
2x = \lambda 2x \\
8y = 2y
\end{cases}
\Rightarrow \text{λ}
\]
\( λxy – 16xy = -12xy = 0 \)
Trovati i punti \( A \), \( B \), \( C \), \( D \).