Scarica tutti i 101 studi in formato PDF e sostieni il progetto Matepratica con soli 3,99€: clicca qui per effettuare il pagamento, riceverai subito un link via mail dove poter scaricare uno Zip con tutti gli studi pubblicati sul sito in versione PDF. Per ulteriori info scrivi a info@matepratica.it
Scarica tutti i 101 studi in formato PDF e sostieni il progetto Matepratica con soli 3,99€: clicca qui per effettuare il pagamento, riceverai subito un link via mail dove poter scaricare uno Zip con tutti gli studi pubblicati sul sito in versione PDF. Per ulteriori info scrivi a info@matepratica.it


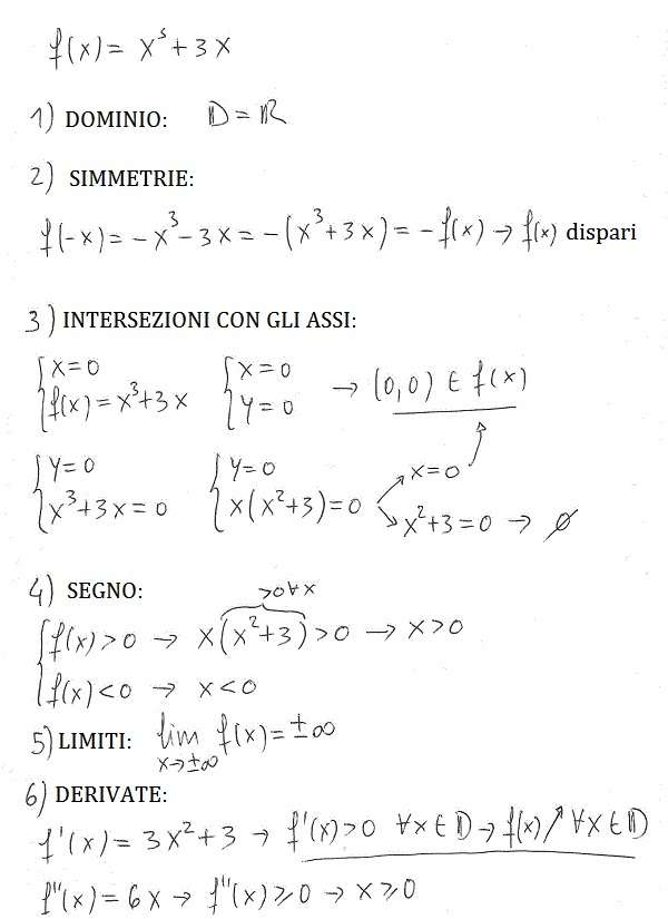
ciao, nel segno potresti spiegarmi come mai x^2+3 è uguale a per ogni x?
x^2+3 è positivo per ogni x perchè x^2 è sempre positivo, tranne nel caso di x=0, ma 0^2+3=3, quindi il risultato è positivo anche in questo caso.
scusa,potresti spiegarmi i passaggi delle derivate per favore
Albert un consiglio quando svolgi uno studio di funzione fai si che descrivi ogni singolo passaggio, non ha senso che svolgi saltando alcuni calcoli perchè tua già sai a priori che si fa in un certo modo e ti ricordo che ci sono persone che non hanno in mente i tuoi passaggi e quindi diventa ancora più difficile la comprensione buona giornata a tutti
Scusa ma nelle soluzioni di questa equazione sul mio libro compare la tangente inflessionale.. Che cosa è?
ciao.. scusa non ho capito perchè fai cosi pochi calcoli per i limiti…
non fai quello orizzontale, verticale e obliquo separatamente?
come fai a capire quale bisogna calcolare??
grazie
Ciao :) la stavo risolvendo e volevo chiedere una cosa , in ( 0 . 0 ) oltre ad’avere l’intersezione , abbiamo anche il punto di flesso per caso ? lo studio della deriv seconda ci dice che 6x > = o per x maggiore uguale , quindi prima di zero e negativa , allora abbiamo il cambio di concavità , o sto dicendo cazzate ??? :D fatemi sapere graziee !!!
Ciao..scusa perché si pone l uguale e nn solo il maggiore nella derivata seconda??grazie
Buonasera, e grazie x l’aiuto che ci offri..
Cmq volevo chederti non ci sono punti di max e min? se sì, potresti scrivermi passaggio per passaggio? sempre se nn è un disturbo :)
Grazie ancora !! :3
No non ci sono perchè la derivata è sempre positiva, come ho scritto nello svolgimento.
Ti ringrazio!
ma xke non ha soluzioni?non viene X=+-3?
x^2=-3 –> impossibile, perchè non esiste nessun numero reale che elevato al quadrato da un risultato negativo
Scusami, perchè all’ intersezione con gli assi non hai svolto x(x^2+3)=0 ?
l’ho svolto: trovo x=0 e basta, perchè x^2+3=0 non ha soluzioni
il flesso sarebbe f(0)=0 o non ci sono?
Si, in O(0;0) c’è un flesso a tangente obliqua
Buonasera. Complimenti per il sito.
Non capisco (X^2+3)>0 per qualunque x, se esso risulta vuoto? Grazie
Qualunque sia x, se lo elevi al quadrato ottieni un numero sempre >=0, a maggior ragione se aggiungi 3 a un numero positivo o nullo ottieni un numero positivo.
la derivata seconda non puoi semplificarla perché è una funzione, non un’equazione
3x^2+3 = 0 (equazione)
é diversa da
3x^2+3 = f(x)
potresti semplificare ma otterresti
x^2+1 = f(x)/3
la derivata seconda non è 2x visto che si può semplificare 3x^2+3 come x^2+1?
perchè nello studio del segno della derivata seconda x è maggiore/uguale a zero e non a -6??
Perchè la derivata seconda vale 6x, e non 6+x
difficile
Non c’è un perchè, avrei dovuto. Solo che si vede subito che se dividi la funzione per x, ottenendo f(x)/x=x^2 +3, i limiti per x–>+-inf tendono comunque a infinito. Quindi asintoti obliqui non ce ne sono…
Perché non hai cercato gli assintoti?