Scarica tutti i 101 studi in formato PDF e sostieni il progetto Matepratica con soli 3,99€: clicca qui per effettuare il pagamento, riceverai subito un link via mail dove poter scaricare uno Zip con tutti gli studi pubblicati sul sito in versione PDF. Per ulteriori info scrivi a info@matepratica.it
Scarica tutti i 101 studi in formato PDF e sostieni il progetto Matepratica con soli 3,99€: clicca qui per effettuare il pagamento, riceverai subito un link via mail dove poter scaricare uno Zip con tutti gli studi pubblicati sul sito in versione PDF. Per ulteriori info scrivi a info@matepratica.it




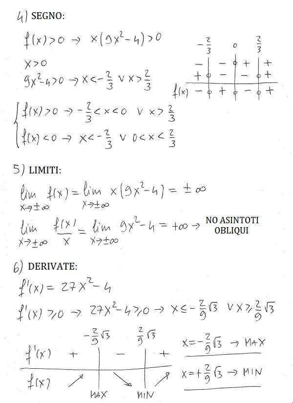
ciao Alberto, innanzitutto grazie per l’aiuto. Nella derivata prima quando pongo >=0 il risultato è x^2>=radice 4/27 quindi x>= +-2/3radice di 3 (non 2/9 radice di 3). Buona giornata :-)
ah, ho capito: lo hai razionalizzato perciò viene 2radice 3/ 9. grazie
la derivata è sbagliata. la radice quadrata di 27 è 3radice di 3 e non 9 radice di 3
Sono d’accordo
perche poni la derivata prima maggiore uguale a 0 .. in altri esercizi l hai posta solo maggiore .. mi puoi spiegare come funziona ovvero quando sulla derivata devo mettere maggiore uguale a 0 o solo maggiore?
ciao complimentissimi x questo blog.
nello studio di funzione precendente hai scritto f'(x) >0 per ogni x appartenente a D f(x) freccia verso l alto per ogni x appartenente a d. non ho capito xk non l hai scritta anche in questa visto che la funzione rimane comunque positiva per ogni valore di x.
x compreso tra -2/3 e zero più x maggiore di 2/3.
nella pubblicazione si sono persi i simboli..
Si, quello è l’intervallo di positività: viene anche a me così…
Ciao, complimenti per il sito e grazie per l’aiuto e la disponibilità! =)
Ma essendo il dominio tutto R, quando studio il segno non dovrei mettere anche uguale? Per esempio x>= 2/3?
Grazie! è la stessa cosa, se poni anche l’uguale a zero ri-ottieni le intersezioni trovate al punto 3
Nello studio del segno perché x>2\3 e x<-2\3 e non x>+-2\3??
Vorrei saperlo anch’io Albert, grazie.
ciao!
nello studio del segno, per f(x)<0 .
Non viene -2/32/3 ? nel grafico avrò x<0 E per +-2/3 la parte interna tra le due radici perchè secondo il DICE considero i discordi interni.
Ciao, mi accodo alla domanda che riguarda l’individuazione della cordinata y per il massimo e il minimo.. dallo schema vedo solo le x.. ma le y come le hai ricavate? hai sostituito nella funzione di partenza il valore x ricavato dalla derivata prima? grazie
si esatto!
una volta trovata la derivata prima, come faccio a trovare le altre due coordinate per il punto max e il punto min?
Vedi commento 7a.
una volta calcolata la derivata come faccio a capire quali sono i valori di massimo e quali quelli di minimo???
Quando la derivata è positiva la funzione cresce, quando è negativa la funzione scende. Quando invece la derivata si annulla potresti avere un punto di massimo, oppure di minimo, oppure un flesso a tangente orizzontale (dipende dalla monotonia della funzione prima e dopo il punto). Guarda lo schemino finale della derivata prima e te ne rendi conto meglio…
grazie mille
Ciao nella derivata quando fai la radice di 4/27 mi spiegheresti i passaggi per arrivare a 2/9 3^1/2 perfavore? grazie
Cioè non dovrebbe essere 2/3 3^1/2 ??? sono sempre io :) grazie ancora.
rad(4/27)=
= 2/rad(9*3) = [rad4=2 e 27=9*3]
= 2/(3rad3) = [rad9=3]
= 2/(3rad3) * (rad3)/(rad3) = [razionalizzo]
= (2rad3)/(3*3) = [rad3*rad3=3]
= (2rad3)/9
54x >= 0
divido a destra e sinistra per 54:
(54x)/54 >= 0/54
a sinistra semplifico i due 54, mentre a destra zero diviso 54 fa zero:
x >= 0
ps: fosse stato 54+x>=0 allora sì veniva x>=-54
la derivata seconda dici che è 54x la poni >=0 quindi dovrebbe venire x>=-54 ma tu dici che è >=0 ma non capisco il motivo.
si esatto
la simmetria è dispari