Scarica tutti i 101 studi in formato PDF e sostieni il progetto Matepratica con soli 3,99€: clicca qui per effettuare il pagamento, riceverai subito un link via mail dove poter scaricare uno Zip con tutti gli studi pubblicati sul sito in versione PDF. Per ulteriori info scrivi a info@matepratica.it
Scarica tutti i 101 studi in formato PDF e sostieni il progetto Matepratica con soli 3,99€: clicca qui per effettuare il pagamento, riceverai subito un link via mail dove poter scaricare uno Zip con tutti gli studi pubblicati sul sito in versione PDF. Per ulteriori info scrivi a info@matepratica.it



Nell’ intersezione con gli assi oltra a 1 ,0 va anche -1, 0.
Sbaglio ?
Ciao, scusami nel calcolare il segno della derivata 2 come si trasforma 2/3 in 2/27? grazie
Salve :) tantissime grazie per l’impegno che metti nel sito.
picccola domandina: perchè del dominio fanno parte tutti inumeri reali? se alla x do valore 1, la funzione non dovrebbe dare 0?
grazie ancora :)
Io non ho capito il SEGNO DELLA FUNZIONE. Perché x=1 si considera tutto positivo?. Se la tua risposta fosse che per x=1 si annulla la funzione allora anche per x=0 si annulla la funzione quindi mi ritrovo bloccato.
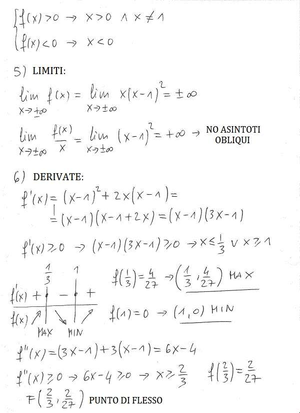
La funzione è composta dai fattori x (positivo per x>0) e (x-1)^2 che è sempre positivo tranne in x=1 (in cui si annulla. Quindi la funzione prende il segno di x: positiva per x>0 e negativa per x<0. In x=0 e x=1 si annulla.
Ah è vero!!E’ che io proprio non riesco a capire che ragionamento usi :(..mi sapresti spiegare come fai ai primi passaggi?Grazie :)
a te viene (x -1)^2 + x[2(x-1)] che è uguale identico al mio primo passaggio. Il mio secondo passaggio è il raccoglimento di (x-1)
La derivata al primo passaggio non mi trovo come te..la derivata della funzione data è (x -1)^2 + x[2(x-1)] cioè 3x^2 – 4x +1
benissimo, è la stessa cosa: 3x^2 – 4x +1 = (x-1)(3x-1)
però, poi, (x-1)^2 dove finisce??
(x-1)^2=(x-1)*(x-1)
quindi se raccolgo x-1 dentro parentesi mi rimane x-1
mi sono espresso male, scusami! intendevo il passaggio della derivata prima (x-1) (x-1+2x) non riesco a capire da dove esce
(comunque grazie lo stesso per la spiegazione dello studio del segno!)
Ah ok, raccolgo (x-1) ottenendo:
(x-1)((x-1)+2x)=
=(x-1)(x-1+2x)=
=(x-1)(3x-1)
non capisco come è stata risolta la derivata prima! in particolare il secondo passaggio, potresti spiegarmelo velocemente?
Se ti riferisci allo studio del segno:
(x-1)(3x-1) è una parabola (polinomio di secondo grado scomposto in due fattori di primo grado) rivolta verso l’alto (il coefeiciente di x^2 viene 3, quindi positivo) che interseca l’asse x nei punti x=1 e x=1/3 (valori di x per i quali si annullano i fattori di primo grado). Questa parabola è di conseguenza positiva (sta sopra l’asse x) per valori esterni, negativa per valori interni.
Ciao Cliff,
la x del massimo è 1/3. Sostituendola nella funzione iniziale trovi la y:
f(1/3) = 1/3 * (1/3 – 1)^2
f(1/3) = 1/3 * (-2/3)^2
f(1/3) = 1/3 * 4/9
f(1/3) = 4/27
il MAX COME FA A DIVENTARE 4/27