Scarica tutti i 101 studi in formato PDF e sostieni il progetto Matepratica con soli 3,99€: clicca qui per effettuare il pagamento, riceverai subito un link via mail dove poter scaricare uno Zip con tutti gli studi pubblicati sul sito in versione PDF. Per ulteriori info scrivi a info@matepratica.it
Scarica tutti i 101 studi in formato PDF e sostieni il progetto Matepratica con soli 3,99€: clicca qui per effettuare il pagamento, riceverai subito un link via mail dove poter scaricare uno Zip con tutti gli studi pubblicati sul sito in versione PDF. Per ulteriori info scrivi a info@matepratica.it



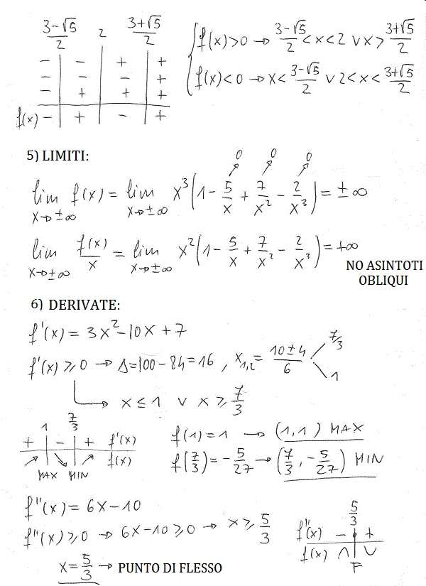
nelle intersezioni con gli assi, quando calcoli X 1/2, non è b^2? cioè 9 invece che 3?
CIAO,
quando fai la derivata per vedere dove cresce o decresce non capisco perchè x risulta minore uguale a 1.
perchè abbiamo cambiato il segno?
ma il grafico della funzione non è sbagliato? mi trovo con i risultati ma secondo il grafico del segno fra 3-rad5/2 e 2 dovrebbe essere positiva e di conseguenza nella parte sottostante alla retta x la funzione non dovrebbe esistere….
come fa ad esserci il punto (0;-2) se quella parte non è compresa nella funzione? Grazie
Questo commento è stato eliminato dall’autore.
Ciao scusa non riesco a capire come hai trovato -5/27 nel minimo. Io proprio non riesco, probabilmente sbaglio qualche calcolo.
devi calcolare f(7/3), con molta pazienza per non sbagliare i conti :)
-1,85 dove l’hai trovato?
Ciao, l’intervallo tra -1,85 e 2 non dovrebbe essere positivo? come fa ad esserci il punto (0;-2) se quella parte non è compresa nella funzione? Grazie
Io non capisco come hai fatto il segno e ovviamente l’intersezione con gli assi.
nell’intersezione con gli assi ho usato il metodo di ruffini per scomporre il polinomio ( e di conseguenza trovare le soluzioni di f(x)=0). Nello studio del segno ho risolto f(x)>0 appofittando della scomposizione fatta al punto precedente.
Se vuoi saperne di più su ruffini qui hai la teoria:
http://www.matepratica.info/2011/12/calcolo-letterale-lezione-6-slide-9.html
e qui la pratica:
http://www.matepratica.info/2012/01/scomposizioni-regola-di-ruffini.html