Scarica tutti i 101 studi in formato PDF e sostieni il progetto Matepratica con soli 3,99€: clicca qui per effettuare il pagamento, riceverai subito un link via mail dove poter scaricare uno Zip con tutti gli studi pubblicati sul sito in versione PDF. Per ulteriori info scrivi a info@matepratica.it
Scarica tutti i 101 studi in formato PDF e sostieni il progetto Matepratica con soli 3,99€: clicca qui per effettuare il pagamento, riceverai subito un link via mail dove poter scaricare uno Zip con tutti gli studi pubblicati sul sito in versione PDF. Per ulteriori info scrivi a info@matepratica.it



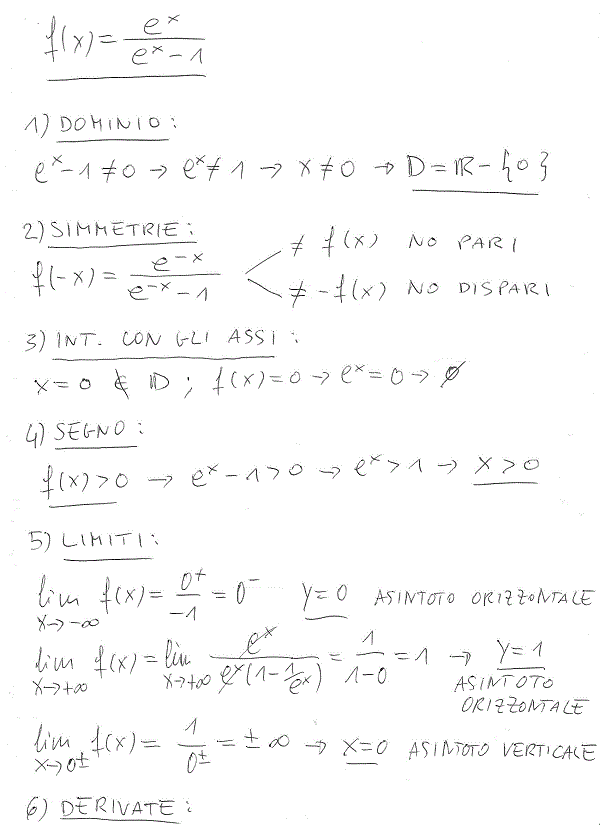
Non ho capito il dominio… come passi da e^x ≠ 1 a x≠0??
e^x != 1 -> e^x != e^0 -> (Confrontando gli esponenti) – > x !=0
ciao, potresti spiegarmi come il lim di x che tende a +infinito dia 1? non riesco a capire che passaggi hai effettuato, grazie
ciao e grazie! guardato tutti gli studi di funzione proposti nel sito non ho mai capito come mai nei grafici, in corrispondenza degli asintoti, la funziona a volte quasi si unisce all’asintoto e quando invece gli rimane parallela.. da cosa lo si capisce?
ciao!! potresti spiegarmi i passaggi della derivata seconda? complimenti per il sito!! :-)
ciao, scusami potresti spiegarmi con i passaggi il lim per x –> -inf ? non riesco a capire cosa cambia da quello per x –> +inf
grazie mille
ciao scusa mi puoi scrivere i passaggi della derivata seconda?
ho risolto , grazie per tutto quello che fai :)
complimentiii x il sitoo è davvero unico e molto interessante :) mi aiutereste x favore con questa funzione x^3/e^3x ?? :) grazie mille in anticipo :)
Grazie! Mi dispiace ma qui non risolvo studi completi
ciao. anche io non riesco a capire come mai non vi siano ne punti di max e min. me lo potresti spiegare più chiaramente. grazie in anticipo, ciao
quando la derivata è negatova la funzione scende, quando la derivata è positiva la funzione sale. Nel nostro caso la derivata è sempre negativa, quindi la funzione scende sempre, e quindi non può avere minimi
Ciao e grazie per tutti questi ex…cmq non ho capito perchè non ci sono punti di min e Max me lo potresti spiegare ti ringrazio in anticipo Ciaoo!
Ciao, grazie! Perchè la derivata è sempre negativa e quindi la funzione sempre decrescente
ciao! non ho capito come mai nella derivata prima risulta -1/ ( e^x – 1)^2. Forse è un problema di calcolo ma a me viene al numeratore – e^x.
Hai ragione: vedi commenti 1 e 2.
In ogni caso ora ho modificato anche nella soluzione.
Salve, nelle intersezioni degli assi cosa significa il simbolo che segue e^x=0?
grazie
Insieme vuoto. Infatti l’equazione e^x=0 non ha soluzioni.
Ciao Anonimo,
si hai ragione, le cose non cambiano a livello di studi del segno delle derivate, e grafico finale. Rifaccio comunque qui i conti:
f'(x) = -e^x /(e^x -1)^2
f”(x) = ((-e^x)(e^x -1)^2 +e^x *2(e^x -1)e^x ) /(e^x -1)^4
f”(x) = e^x(-e^2x -1 +2e^x +2e^2x -2e^x ) /(e^x -1)^4
f”(x) = e^x(e^2x -1) /(e^x -1)^4
f”(x) = e^x(e^x +1) /(e^x -1)^3
f”(x)>0 –> e^x>1 –> x>0
Ora ho modificato anche nella soluzione proposta
salve la derivata prima non dovrebbe dare -e^x/(e^x-1)^2?