Scarica tutti i 101 studi in formato PDF e sostieni il progetto Matepratica con soli 3,99€: clicca qui per effettuare il pagamento, riceverai subito un link via mail dove poter scaricare uno Zip con tutti gli studi pubblicati sul sito in versione PDF. Per ulteriori info scrivi a info@matepratica.it
Scarica tutti i 101 studi in formato PDF e sostieni il progetto Matepratica con soli 3,99€: clicca qui per effettuare il pagamento, riceverai subito un link via mail dove poter scaricare uno Zip con tutti gli studi pubblicati sul sito in versione PDF. Per ulteriori info scrivi a info@matepratica.it



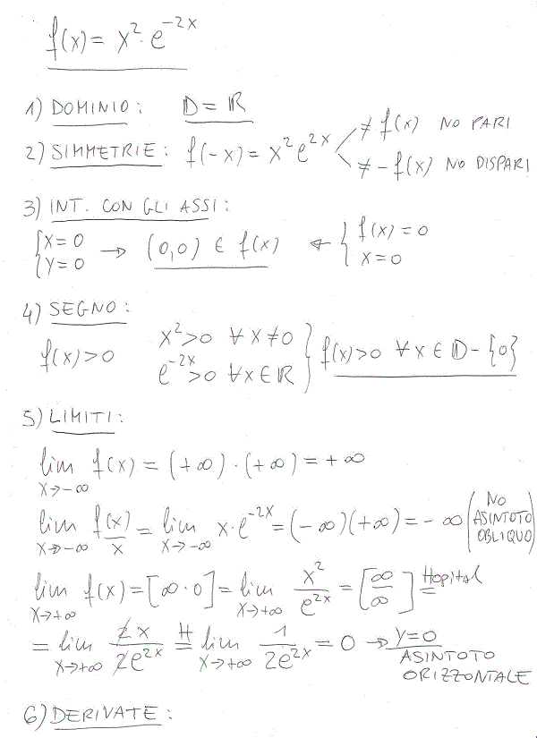
Scusate il disturbo e la domanda forse banale. Perchè nell’intersezione con gli assi (0,0) appartiene a f(x) ?
ma perchè si definiscono flessi? da cosa si capisce^
dal fatto che in quei punti la derivata seconda si annulla, e in un loro intorno cambia segno.
ok scusa ho risolto….perchè hai semplificato x^2 con x…grazie :)
perfetto ;)
Ciao Abert,
ma nel calcolo dell’asintoto obliquo perchè l’hai calcolato per (x)(e^-2x) e non per (x)^2 (e^-2x)????
grazie
ciao Albert..ho un dubbio..se faccio il limite per x che tende a 0 meno della derivata prima(che mi pare sia 0)..dovrei ottenere la pendenza del grafico in quell intorno? spero la mia domanda sia stata chiara:)
Si, ma non ha senso: la derivata in x=0 esiste e vale zero (non serve fare il limite)
scusa ma la derivata prima non è 2x e^-2x + x^2 e^-2x?
No perchè la derivata di e^(-2x) (che è una funzione composta) è
e^(-2x) *(-2) = -2e^(-2x)
Ciao Albert. Scusa il disturbo ma i limiti della funzione per x che tende a + e- infinito come mai danno risultati diversi? Cioè più infinito per x che tende a meno infinito e 0 per x che tende a più infinito? Non dovrebbe risultare meno infinito? Grazie e complimenti anche da parte mia!
Nello svolgimento ci sono i passaggi: se qualcuno non ti è chiaro segnalamelo, oppure fammi scrivimi i tuoi passaggi e ti dico dove sbagli ;)
Comunque in sostanza vengono diversi perchè e^(-inf)=0 e e^(+inf)=+inf
Ciao Anonimo/i,
Risposta alla prima domanda:
Si, ma x^2 è SEMPRE maggiore o uguale a zero, quindi D=R
Risposta alla seconda domanda:
Se un limite per x–>inf di f(x) tende a infinito, allora cerchi eventuali asintoti obliqui.
salve. nei limiti quando devo calcolare il limite per vedere se ci sono asintoti obliqui? c’è un qualcosa che mi suggerisce il fatt che debba calcolarlo?
grazie e complimenti per questo sito molto utile :)
ciao albert, per il dominio non dovrei studiare x^2maggiore uguale a zero? otterrei cosi x maggiore di zero con il C.E pari a (0;+oo)