Trigonometria – Esercizio 1

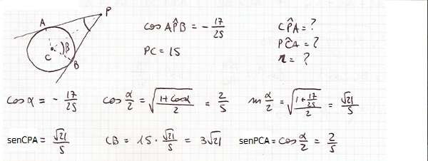
Da un punto P esterno a una circonferenza di centro C si mandano le tangenti PA e PB. Sapendo che cos(APB) = – 17/25 e che PC = 15 cm , determina i valori delle funzioni goniometriche degli angoli CPA e PCA e il raggio della circonferenza.

Trig 2Brett 2B01

3 thoughts on “Trigonometria – Esercizio 1

Lascia un commento

Il tuo indirizzo email non sarà pubblicato. I campi obbligatori sono contrassegnati *