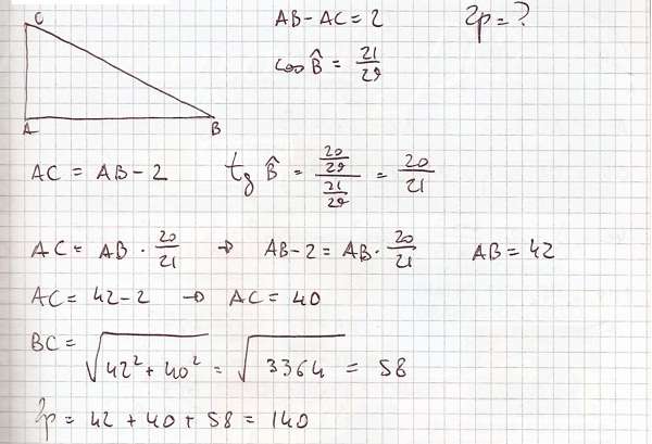
Trigonometria – Esercizio 13 La differenza tra i cateti di un triangolo rettangolo è 2 cm , mentre il coseno di uno dei due angoli acuti vale 21/29. Calcola il perimetro del triangolo.