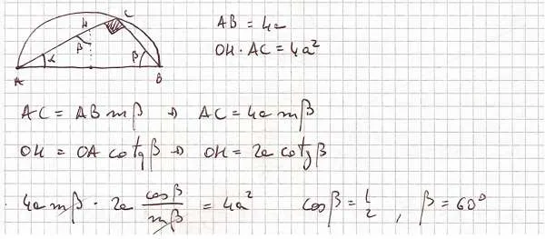
Inscrivi un triangolo ABC in una semicirconferenza di centro O e diametro AB = 4a, in modo che l’angolo in B risulti maggiore dell’angolo in A. Indica con OH il segmento perpendicolare al diametro (con H su AC). Determina l’angolo in B in modo che il rettangolo di base OH e altezza AC abbia area 4a^2.

Come mai l’angolo in H e l’angolo in B sono uguali?