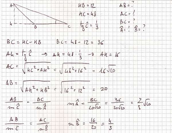
Trigonometria – Esercizio 16 Nel triangolo ABC l’angolo in B è ottuso e AH è l’altezza relativa al lato BC. Sapendo che HB = 12 cm , HC = 48 cm e tg(BCA) = 1/3 , determina i lati e gli angoli del triangolo.