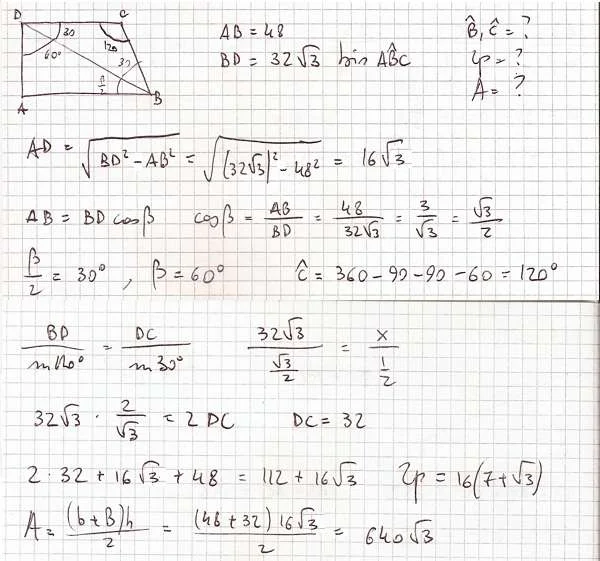
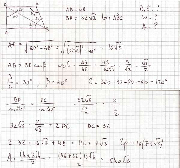
Trigonometria – Esercizio 18 La base maggiore del trapezio rettangolo ABCD è AB = 48 cm ; la diagonale maggiore BD è lunga 32√3 cm ed è bisettrice dell’angolo ABC. Determina gli angoli, il perimetro e l’area del trapezio.
Ciao Anonimo, si esatto, e di conseguenza c’era un radice di 21 sbagliato. Ho modificato, grazie! Rispondi
come hai trovato cb?
Ciao Anonimo,
si esatto, e di conseguenza c’era un radice di 21 sbagliato. Ho modificato, grazie!
devi sottrarre con pitagora non sommare