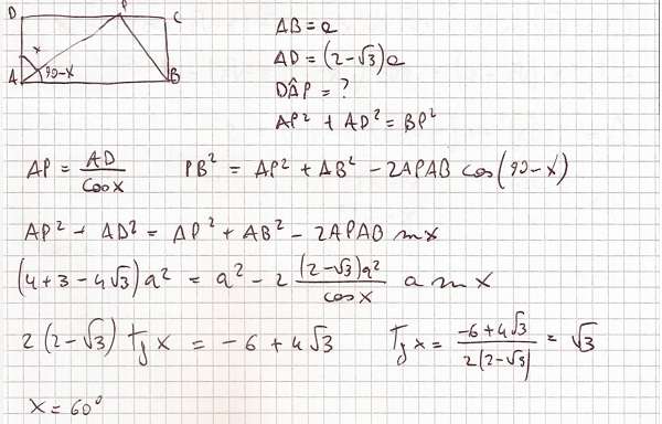
Nel rettangolo ABCD è inscritto il triangolo ABP, col vertice P sul lato CD. Le misure dei lati del rettangolo sono AB = a e AD = (2 – √3)a . Determina l’angolo DAP sapendo che è valida la relazione AP^2 + AD^2 = BP^2 .
2 thoughts on “Trigonometria – Esercizio 29”
Che fine fa la a nel terzo passaggio? Dividi i 2 membri per a^2, ma la a che rimane?
Che fine fa la a nel terzo passaggio? Dividi i 2 membri per a^2, ma la a che rimane?
Scusa ma dove li hai presi i numeri 4+3-4…. nell addizione di ap quadro e ad quadro?