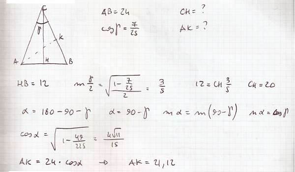
Trigonometria – Esercizio 4 In un triangolo isoscele la base è lunga 24 cm e il coseno dell’angolo al vertice è 7/25. Determina le altezze del triangolo.
Infatti anche questo esercizio è sbagliato, e sono 2
Forse mi sfugge qualcosa ma per me HB=CBsen(gamma/2) e non HB=CHsen(gamma/2)