Trigonometria – Esercizio 7

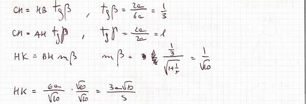
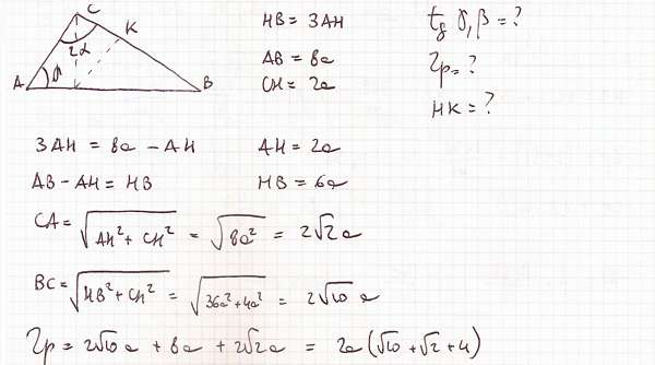
Nel triangolo ABC l’altezza CH divide AB in due parti, una tripla dell’altra. Sapendo che AB = 8a e CH = 2a , calcola le tangenti degli angoli del triangolo, il perimetro del triangolo, l’altezza relativa a CB nel triangolo CHB.

Trig rett 07 a

Trig rett 07 b

One thought on “Trigonometria – Esercizio 7

Lascia un commento

Il tuo indirizzo email non sarà pubblicato. I campi obbligatori sono contrassegnati *