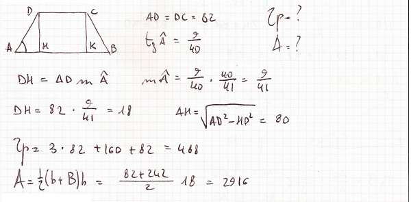
Trigonometria – Esercizio 8 Nel trapezio isoscele ABCD di base AB è AD = DC = 82 cm e tg(BAC) = 9/40. Determina perimetro e area del trapezio.
Come si fa a trovare sen alfa?