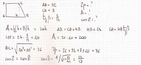
Trigonometria – Esercizio 9 Il trapezio ABCD è rettangolo in A e D. Sapendo che AB = 32 cm , CD = 8 cm e tg(ABC) = 5/12 , calcola il perimetro e l’area del trapezio e cos(BCD).
per trovare il cos(BCD) hai dimenticato il segno – davanti al cos(ABC) perche sarebbe come un arco associato dove il coseno è negativo. Rispondi
per trovare il cos(BCD) hai dimenticato il segno – davanti al cos(ABC) perche sarebbe come un arco associato dove il coseno è negativo.