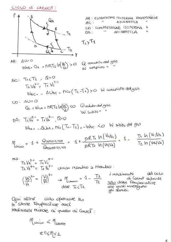
Salve, c’è un errore nel disegno degli scambi di calore e lavoro che riguardano un corpo. Il calore assorbito è positivo, quello ceduto è negativo. Rispondi
Salve, c’è un errore nel disegno degli scambi di calore e lavoro che riguardano un corpo. Il calore assorbito è positivo, quello ceduto è negativo.
Hai ragione, mi è scappato, correggo! grazie!
bel lavoro ma purtroppo le immagini non si vedono :/
utilissimo! però mannaggia a te come scrivi D: