Scarica tutti i 101 studi in formato PDF e sostieni il progetto Matepratica con soli 3,99€: clicca qui per effettuare il pagamento, riceverai subito un link via mail dove poter scaricare uno Zip con tutti gli studi pubblicati sul sito in versione PDF. Per ulteriori info scrivi a info@matepratica.it
Scarica tutti i 101 studi in formato PDF e sostieni il progetto Matepratica con soli 3,99€: clicca qui per effettuare il pagamento, riceverai subito un link via mail dove poter scaricare uno Zip con tutti gli studi pubblicati sul sito in versione PDF. Per ulteriori info scrivi a info@matepratica.it



ciao Albert,
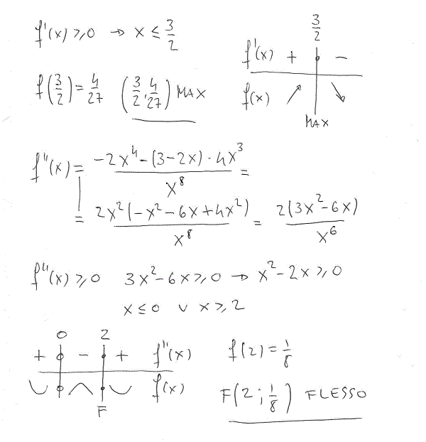
scusami tanto ma la derivata seconda non dovrebbe essere -2(x^4)-(-2x+3)(4x^3)/(x^8) e quindi 6x^4-12x^3/x^8
è la stessa cosa, abbassa il grado di 2 sia dal denominatore che dal numeratore poi raccogli un 2 e vedrai che è lo stesso
Ciao
Ciao Albert e ciao a tutti,
scusate ma la D” una volta svolti i calcoli, non viene 6x^4 -12x^3/x^8? E quindi, semplificando, (6x-12)/x^5?
grazie a tutti,
Adele
Ciao ! Scusa ma nell’intersezione con gli assi l’ asse y non dovrebbe essere intersecata da -1???? Ponendo x=0 perche tu non l’ hai neanche fatto?
Perché nella semplificazione x^2 con x^6 esce x^4 e non x^3
Questo commento è stato eliminato dall’autore.
nella derivata seconda di questo esercizio perchè ha raccolto 2 e non 6?
ciao mi spiegheresti la derivata seconda, o meglio perchè c’è X <(uguale) 0′??
perchè x^2-2x=0 ha soluzioni x=0 e x=2
io n ho capito xk c’è <. potresti spiegarlo x favore?
ciao albert, perchè la derivata prima viene 3-2x/x^4?
nn capisco questo ultimo passaggio…. :(
Ho raccolto al numeratore x^2 per poi semplificarlo col denominatore (che diventa x^4)
Grazie per la risposta!
Ciao Anonimo,
NO, il meno davanti alla x del numeratore e il meno davanti alla x^3 del denominatore si possono togliere solo a patto di cambiar segno anche al -1 del numeratore. In pratica se raccogli il meno al numeratore ti viene:
-(x+1)/(-x^3)=
= (x+1)/x^3
che non è la funzione iniziale
ops, riscrivo:
(-x)-1/(-x)^3
non è uguale a
x-1/x^3?
Il meno al numeratore e denominatore non dovrebbero annullarsi lasciando la funzione uguale a quella di partenza?Grazie
Salve, vorrei chiedere, ma questa funzione non è pari?
(-x)-1 (x)-1
——- non è uguale a ——— ?
(-x)^3 x^3
Grazie.
Ciao,
è indifferente: se la poni maggiore o uguale a zero ottieni anche le intersezioni con l’asse x, ma se le hai già trovate prima facendo f(x)=0… nello studio del segno ti basta porre f(x)>0
Ciao complimenti per il sito.Ti volevo chiedere una cosa : perchè nello studio del segno di una funzione ,la funzione avvolte viene posta solo maggiore di zero ed invece altre volte maggiore/uguale di zero.?? potresti spiegarmelo ? C’è qualche criterio particolare da seguire?
Grazie in anticipo.