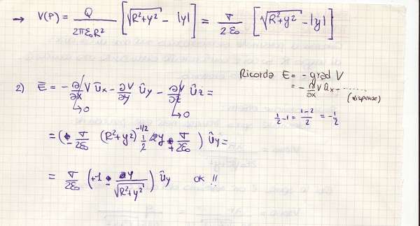
Su un disco circolare di raggio R è distribuita una carica positiva con densità superficiale uniforme σ. Calcolare il potenziale elettrostatico sull’asse perpendicolare del disco. Calcolare poi il campo elettrico.
4 thoughts on “Elettrostatica 3 – Esercizio 2”
L’integrale è sbagliato e il σ non va scomposto perché poi ritorna alla fine, è una complicazione inutile.
L’integrale è sbagliato e il σ non va scomposto perché poi ritorna alla fine, è una complicazione inutile.
Puoi indicarmi quale calcolo ritieni sbagliato? grazie
perchè moltiplichi per 2pigreco?
dove?