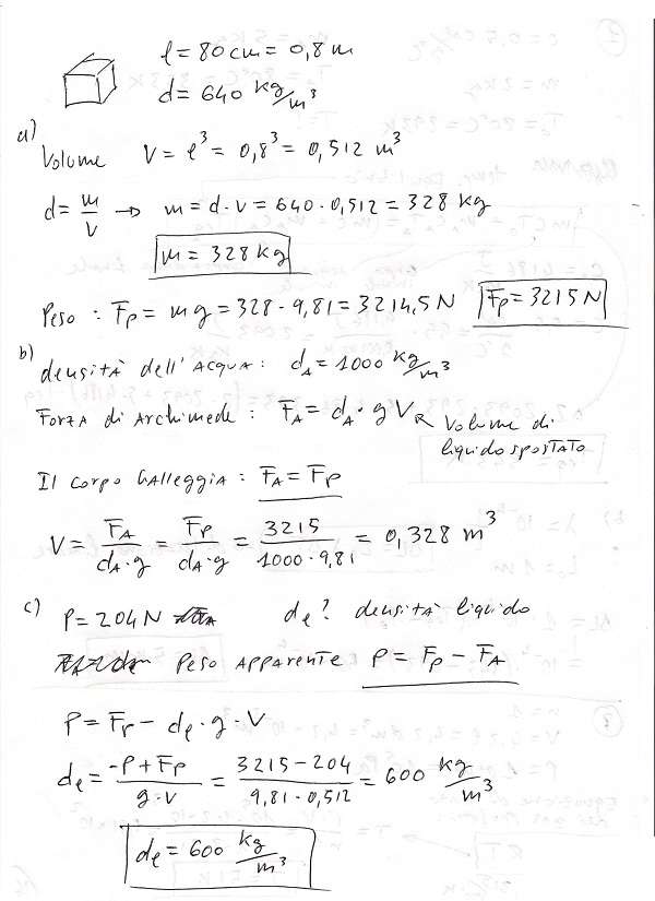
Un corpo ha la forma di un cubo di lato 80 cm e densità pari a 640 Kg/m3. a) Determinare la massa e il peso del corpo. b) Determinare la frazione di volume del corpo immerso in acqua. c) Determinare la densità di un liquido nel quale il corpo totalmente immerso assume il peso apparente di 204N.
